【药物名称】PD-160678
化学结构式(Chemical Structure):
参考文献No.36858
标题:Irreversible inhibitors of tyrosine kinases
作者:Dobrusin, E.M.; Bridges, A.J.; Zhou, H.; Smaill, J.B.; Doherty, A.M.; Denny, W.A.; McNamara, D.J.; Showalter, H.D. (Pfizer Inc.)
来源:JP 2000508657; WO 9738983
合成路线图解说明:

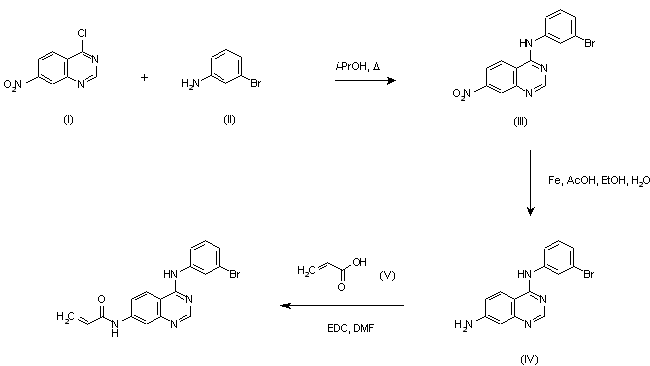
Coupling of chloroquinazoline (I) with 3-bromoaniline (II) in refluxing isopropanol yielded anilinoquinazoline (III). The nitro group was then reduced with Fe dust and AcOH in aqueous ethanol to give amine (IV). Finally, condensation with acrylic acid (V) using 1-(3-dimethylaminopropyl)-3-ethylcarbodiimide.HCl (EDC) in DMF provided the target acrylamide.

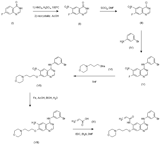
合成路线图解说明:

Nitration of quinazolinone (I) with fuming HNO3 in H2SO4 at 100 C gave a mixture of 6-nitro and 8-nitroquinazolines, from which the desired 6-isomer was isolated by recrystallization from AcOH. Subsequent treatment with refluxing SOCl2 and a catalytic amount of DMF gave chloride (III), which was condensed with 3-bromoaniline (IV) in isopropanol to afford anilinoquinazoline (V). Reaction with sodium alkoxide (VI) in refluxing THF provided ether (VII). Then, the nitro group was reduced with Fe dust and AcOH in aqueous ethanol to give amine (VIII). Finally, condensation with acrylic acid (X) using 1-(3-dimethylaminopropyl)-3-ethylcarbodiimide.HCl (EDC) in DMF yielded the target acrylamide.

合成路线图解说明:

The title amide was prepared by coupling of 6-amino-4-(3-chloro-4-fluorophenylamino)pyrido[3,4-d]pyrimidine (I) with 5-(4-methyl-1-piperazinyl)-2-pentynoic acid (II) in the presence of EDC.

参考文献No.337587
标题:Tyrosine kinase inhibitors. 5. Synthesis and structure-activity relationships for 4-[(phenylmethyl)amino]- and 4-(phenylamino)quinazolines as potent adenosine 5'-triphosphate binding site inhibitors of the tyrosine kinase domain of the epidermal growth f
作者:Rewcastle, G.W.; Denny, W.A.; Bridges, A.J.; Zhou, H.; Cody, D.R.; McMichael, A.; Fry, D.W.
来源:J Med Chem 1995,38(18),3482
合成路线图解说明:

Coupling of chloroquinazoline (I) with 3-bromoaniline (II) in refluxing isopropanol yielded anilinoquinazoline (III). The nitro group was then reduced with Fe dust and AcOH in aqueous ethanol to give amine (IV). Finally, condensation with acrylic acid (V) using 1-(3-dimethylaminopropyl)-3-ethylcarbodiimide.HCl (EDC) in DMF provided the target acrylamide.

合成路线图解说明:

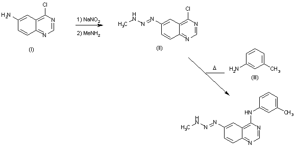
Arylamine (I) is converted into the corresponding methyltriazene (II) by formation of the corresponding diazonium salt with NaNO2 in HCl/H2O, followed by reaction with methylamine. Finally, the target compound is obtained by coupling of (II) with the corresponding amine in refluxing isopropanol.

Drug Information Express,Drug R&D,Chemical Database,Patent Search.
Copyright © 2006-2026 Drug Future. All rights reserved.Contact Us