【药物名称】
化学结构式(Chemical Structure):
参考文献No.467320
标题:Synthesis and biological activities of phenyl piperazine-based peptidomimetic growth hormone secretagogues
作者:Barakat, K.J.; Cheng, K.; Chan, W.W.; Butler, B.S.; Jacks, T.M.; Schleim, K.D.; Hora, D.F. Jr.; Hickey, G.J.; Smith, R.G.; Patchett, A.A.; Nargund, R.P.
来源:Bioorg Med Chem Lett 1998,8(11),1431
合成路线图解说明:

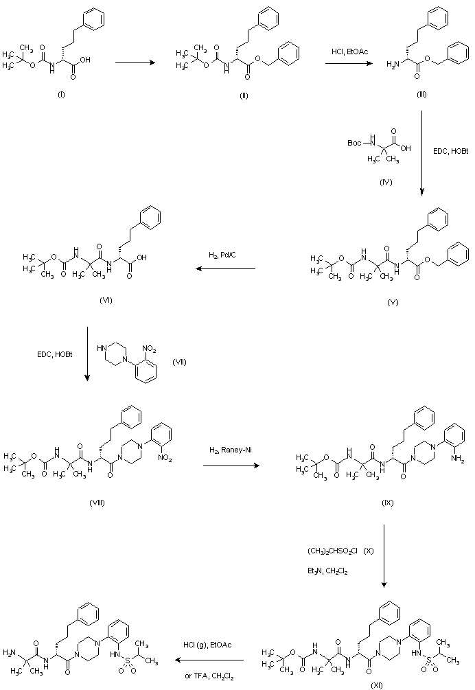
N-Boc-D-(3-phenylpropyl)glycine (I) was esterified to benzyl ester (II), and then, tert-butoxycarbonyl group was cleaved by acidic treatment to give amine (III). This was coupled with N-Boc-2-aminoisobutyric acid (IV) in the presence of 1-ethyl-3-(3-dimethylaminopropyl)carbodiimide.HCl (EDC) and 1-hydroxybenzotriazole (HOBt) to afford dipeptide ester (V), from which the benzyl ester group was removed by hydrogenolysis in the presence of Pd/C. The resulting acid (VI) was condensed with 1-(2-nitrophenyl)piperazine (VII) in the presence of EDC and HOBt to produce piperazide (VIII). Subsequent reduction of the nitro group by hydrogenation in the presence of Raney-Ni gave aniline (IX), which was treated with 2-propanesulfonyl chloride (X) to yield sulfonamide (XI). Finally, the tert-butoxycarbonyl protecting group was removed by treatment either with HCl in EtOAc or with trifluoroacetic acid to afford the target compound as the hydrochloride or the trifluoroacetate salt, respectively.

Drug Information Express,Drug R&D,Chemical Database,Patent Search.
Copyright © 2006-2026 Drug Future. All rights reserved.Contact Us