【药物名称】
化学结构式(Chemical Structure):
参考文献No.560945
标题:Synthesis of new pyrrolo[1,2-a]quinoxalines: Potential non-peptide glucagon receptor antagonists
作者:Guillon, J.; Rault, S.; Kervran, A.; Renard, P.; Manechez, D.; Pfeiffer, B.; Dallemagne, P.
来源:Eur J Med Chem 1998,33(4),293
合成路线图解说明:

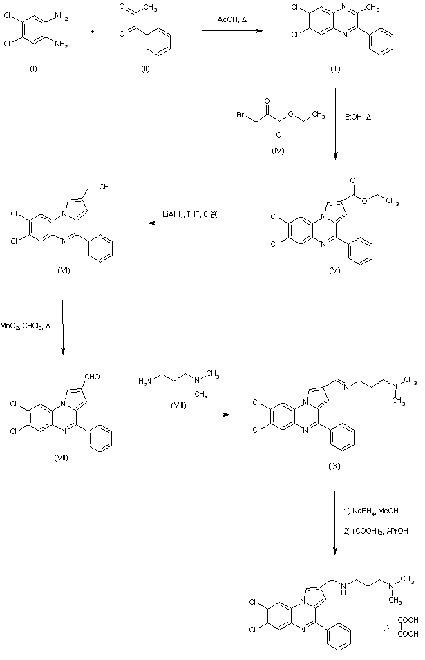
Condensation of 4,5-dichloro-1,2-phenylenediamine (I) with 1-phenyl-1,2-propanedione (II) in boiling AcOH provided quinoxaline (III). Subsequent reaction of (III) with ethyl bromopyruvate (IV) led to the pyrroloquinoxaline (V). After reduction of the ester group of (V) to alcohol (VI) with LiAlH4, further oxidation with MnO2 produced aldehyde (VII). This was condensed with boiling 3-(dimethylamino)propylamine (VIII), and the resulting imine (IX) was finally reduced to the target amine with NaBH4 in MeOH. The title compound was finally converted to the dioxalate salt upon treatment with oxalic acid in isopropanol.

合成路线图解说明:

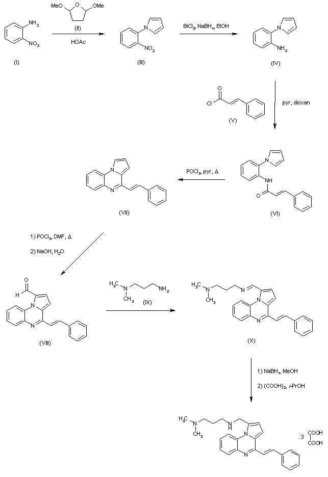
The N-arylpyrrole (III) was prepared by the Clauson-Kaas reaction of 2-nitroaniline (I) with 2,5-dimethoxytetrahydrofuran (II) in AcOH under microwave irradiation. Subsequent reduction of the nitro group of (III) using BiCl3 and NaBH4 provided aniline (IV), which was condensed with cinnamoyl chloride (V) in the presence of pyridine to give the corresponding amide (VI). Cyclization of (VI) using POCl3 and pyridine produced the pyrroloquinoxaline (VII), and further Vilsmeier-Haack formylation gave aldehyde (VIII). This was condensed with boiling 3-(dimethylamino)propylamine (IX), and the resulting imine (X) was finally reduced to the target amine with NaBH4 in MeOH. The title compound was finally converted to the trioxalate salt upon treatment with oxalic acid in isopropanol.

Drug Information Express,Drug R&D,Chemical Database,Patent Search.
Copyright © 2006-2026 Drug Future. All rights reserved.Contact Us