【药物名称】AG-3433
化学结构式(Chemical Structure):
参考文献No.36414
标题:Heteroaryl succinamides and their use as metalloproteinase inhibitors
作者:Bender, S.L.; Castelhano, A.L.; Chong, W.K.M.; Abreo, M.A.; Billedeau, R.J.; Chen, J.J.; Deal, J.G. (Agouron Pharmaceuticals, Inc.; Syntex (USA), Inc.)
来源:EP 0937042; JP 2000511201; US 6008243; WO 9817643
合成路线图解说明:

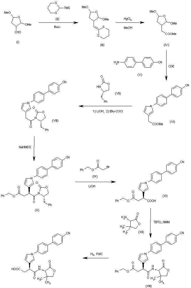
The reaction of 2,5-dimethoxytetrahydrofuran-3-carbaldehyde (I) with 2-(trimethylsilyl)-1,3-dithiane (II) by means of BuLi in THF gives the expected condensation product (III), which is treated with HgCl2 and methanol in THF/water yielding 2-(2,5-dimethoxytetrahydrofuran-3-yl)acetic acid methyl ester (IV). The cyclization of (IV) with 4'-aminobiphenyl-4-carbonitrile (V) by means of CDE in hot trifluorocetic acid affords the biphenylylpyrrole (VI), which is hydrolyzed with LiOH and condensed with the chiral auxiliary 4(S)- benzyloxazolidin-2-one (VII) by means of pivaloyl chloride, BuLi and TEA in THF giving the acylated thiazolidine (VIII). The stereocontrolled reaction of (VIII) with benzyl bromoacetate (IX) by means of sodium hexamethyldisylazane (NaHMDS) in THF yields the succinamic ester (X), which is hydrolyzed with LiOH in THF/water to afford the succinic acid monoester (XI). The amidation of (XI) with 3(S)-amino-4,4-dimethyltetrahydrofuran-2-one (XII) by means of TBTU and NMM in DMF provides the succinamic ester derivative (XIII), which is debenzylated by hydrogenation with H2 over Pd/C in methanol.

参考文献No.527599
标题:Preparation of various P1'-heterocyclic succinamide inhibitors of matrix metalloproteases (MMP's)
作者:Deal, J.G.; Bender, S.L.; Chong, W.K.M.; et al.
来源:217th ACS Natl Meet (March 21 1999, Anaheim) 1999,Abst MEDI 197
合成路线图解说明:

The reaction of 2,5-dimethoxytetrahydrofuran-3-carbaldehyde (I) with 2-(trimethylsilyl)-1,3-dithiane (II) by means of BuLi in THF gives the expected condensation product (III), which is treated with HgCl2 and methanol in THF/water yielding 2-(2,5-dimethoxytetrahydrofuran-3-yl)acetic acid methyl ester (IV). The cyclization of (IV) with 4'-aminobiphenyl-4-carbonitrile (V) by means of CDE in hot trifluorocetic acid affords the biphenylylpyrrole (VI), which is hydrolyzed with LiOH and condensed with the chiral auxiliary 4(S)- benzyloxazolidin-2-one (VII) by means of pivaloyl chloride, BuLi and TEA in THF giving the acylated thiazolidine (VIII). The stereocontrolled reaction of (VIII) with benzyl bromoacetate (IX) by means of sodium hexamethyldisylazane (NaHMDS) in THF yields the succinamic ester (X), which is hydrolyzed with LiOH in THF/water to afford the succinic acid monoester (XI). The amidation of (XI) with 3(S)-amino-4,4-dimethyltetrahydrofuran-2-one (XII) by means of TBTU and NMM in DMF provides the succinamic ester derivative (XIII), which is debenzylated by hydrogenation with H2 over Pd/C in methanol.

Drug Information Express,Drug R&D,Chemical Database,Patent Search.
Copyright © 2006-2026 Drug Future. All rights reserved.Contact Us