【药物名称】
化学结构式(Chemical Structure):
参考文献No.529517
标题:Synthesis and antiparasitic and antitumor activity
作者:Rosowsky, A.; Papoulis, A.T.; Forsch, R.A.; Queener, S.F.
来源:J Med Chem 1999,42(6),1007
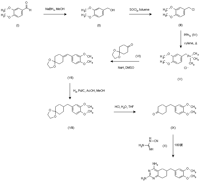
合成路线图解说明:

Reduction of 3,4-dimethoxybenzaldehyde (I) with NaBH4 provided benzyl alcohol (II). After conversion of (II) to the benzyl chloride (III) using SOCl2, its reaction with PPh3 (IV) in refluxing xylene afforded phosphonium salt (V). Subsequent Wittig reaction of the corresponding ylide with 4,4-(ethylenedioxy)cyclohexanone (VI) produced the benzylidene derivative (VII), which was reduced to benzyl compound (VIII) by catalytic hydrogenation over Pd/C. The ketal protecting group of (VIII) was then removed by acid hydrolysis to yield cyclohexanone (IX). Finally, the target tetrahydroquinazoline was obtained by condensation of (IX) with cyanoguanidine (X) at 180 C.

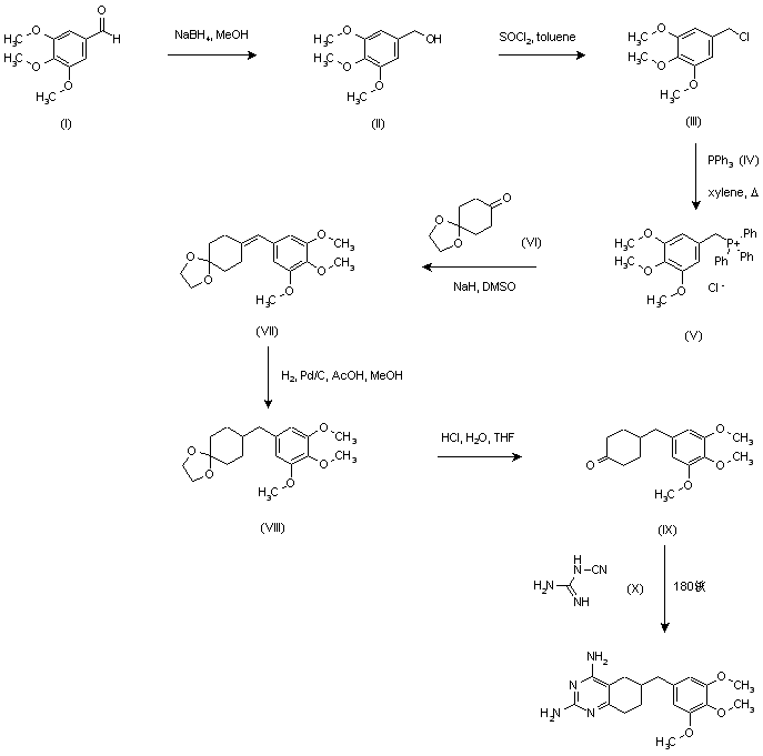
合成路线图解说明:

Reduction of 3,4,5-trimethoxybenzaldehyde (I) with NaBH4 provided benzyl alcohol (II). After conversion of (II) to the benzyl chloride (III) using SOCl2, its reaction with PPh3 (IV) in refluxing xylene afforded phosphonium salt (V). Subsequent Wittig reaction of the corresponding ylide with 4,4-(ethylenedioxy)cyclohexanone (VI) produced the benzylidene derivative (VII), which was reduced to benzyl compound (VIII) by catalytic hydrogenation over Pd/C. The ketal protecting group of (VIII) was then removed by acid hydrolysis to yield cyclohexanone (IX). Finally, the target tetrahydroquinazoline was obtained by condensation of (IX) with cyanoguanidine (X) at 180 C.

Drug Information Express,Drug R&D,Chemical Database,Patent Search.
Copyright © 2006-2026 Drug Future. All rights reserved.Contact Us