【药物名称】beta-Alethine, Beta LT, Betathine
化学结构式(Chemical Structure):
参考文献No.56729
标题:Novel disulfides and thiol cpds.
作者:Lednicer, D.; Murray, C.K.; Daughenbaugh, R.J.; Taub, F.E. (Dovetail Technologies Inc.)
来源:JP 2002503700; US 2001008933; US 6414114; WO 9942097; WO 9942116
合成路线图解说明:

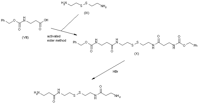
Also alternatively, the condensation of benzyloxycarbonyl-beta-alanine (VIII) with dimeric cystamine (IX) by the activated ester method gives the protected cystamine intermediate (X), which is finally deprotected with HBr in acetic acid.

参考文献No.691270
标题:Synthesis and radioprotective activity of new cysteamine and cystamine derivatives
作者:Oiry, J.; Pue, J.Y.; Imbach, J.L.; Fatome, M.; Sentenac-Roumanou, H.; Lion, C.
来源:J Med Chem 1986,29(11),2217
合成路线图解说明:

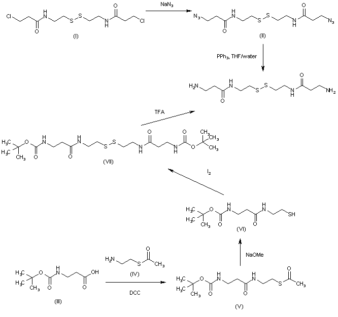
The reaction of disulfide (I) with sodium azide in DMSO gives the bis azido derivative (II), which is finally reduced with PPh3 in THF/water to afford the target beta-alanine derivative. Alternatively, the condensation of N-(tert-butoxycarbonyl)-beta-alanine (III) with S-acetyl-cysteamine (IV) by means of DCC in ethyl acetate gives the bet-alaninamide (V), which is deacetylated by means of NaOMe in methanol to yield N-[N-(tert-butoxycarbonyl)-beta-alanyl]cysteamine (VI). The dimerization of (VI) by means of I2 in Ac-OH affords the protected cystamine derivative (VII), which is finally deprotected by means of TFA.

参考文献No.691271
标题:Investigating the role of the geminal dimethyl groups of coenzyme A: Synthesis and studies of a didemethyl analogue
作者:Vogel, K.W.; Stark, L.M.; Mishra, P.K.; Yang, W.; Drueckhammer, D.G.
来源:Bioorg Med Chem 2000,8(10),2451
合成路线图解说明:

The reaction of disulfide (I) with sodium azide in DMSO gives the bis azido derivative (II), which is finally reduced with PPh3 in THF/water to afford the target beta-alanine derivative. Alternatively, the condensation of N-(tert-butoxycarbonyl)-beta-alanine (III) with S-acetyl-cysteamine (IV) by means of DCC in ethyl acetate gives the bet-alaninamide (V), which is deacetylated by means of NaOMe in methanol to yield N-[N-(tert-butoxycarbonyl)-beta-alanyl]cysteamine (VI). The dimerization of (VI) by means of I2 in Ac-OH affords the protected cystamine derivative (VII), which is finally deprotected by means of TFA.

Drug Information Express,Drug R&D,Chemical Database,Patent Search.
Copyright © 2006-2026 Drug Future. All rights reserved.Contact Us