【药物名称】SM-319777, AG-1776, KNI-764, JE-2147
化学结构式(Chemical Structure):
参考文献No.31794
标题:HIV-protease inhibitors
作者:Kato, R.; Mimoto, T.; Fukazawa, T.; Morohashi, N.; Kiso, Y. (Japan Energy Corp.)
来源:CA 2179935; EP 0751145; JP 1998025242
合成路线图解说明:

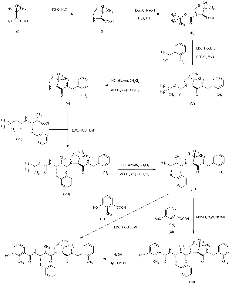
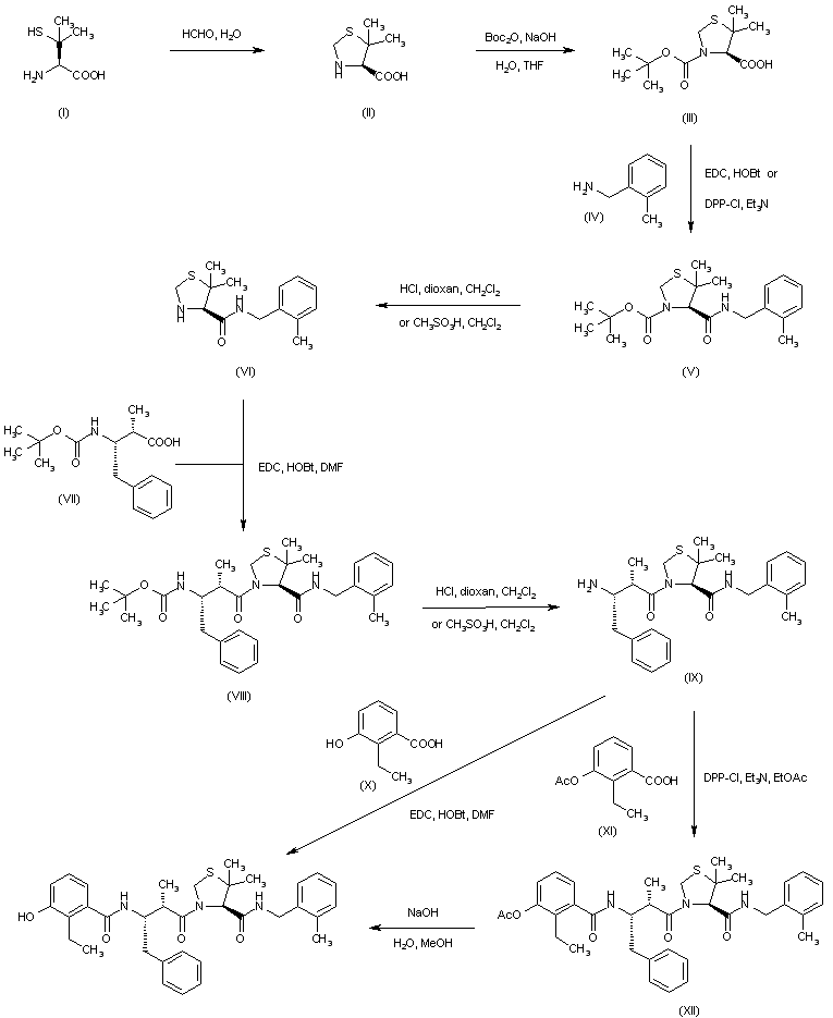
Treatment of penicillamine (I) with formaldehyde produced thiazolidine (II), which was then protected with Boc2O to give carbamate (III). Coupling of (III) with 2-methylbenzylamine (IV) by means of either diphenylphosphoryl chloride (DPPCl), 1-ethyl-3-(3-dimethylaminopropyl)carbodiimide-HCl (EDC) or dicyclohexylcarbodiimide (DCC) afforded the corresponding amide (V). After acid cleavage of the Boc group of (V), the deprotected thiazolidine (VI) was coupled with N-Boc-(S,S)-3-amino-2-hydroxy-4-phenylbutyric acid (VII) using EDC to give diamide (VIII). Further acid deprotection of the Boc group of (VIII) yielded (IX). This was finally coupled with 3-hydroxy-2-methylbenzoic acid (X) to furnish the title compound. Alternatively, amine (IX) was coupled with 3-acetoxy-2-methylbenzoic acid (XI) to afford (XII), which was then deacetylated using NaOH in MeOH.

合成路线图解说明:

Treatment of penicillamine (I) with formaldehyde produced thiazolidine (II), which was then protected with Boc2O to give carbamate (III). Coupling of (III) with 2-methylbenzylamine (IV) by means of either diphenylphosphoryl chloride (DPP-Cl) or 1-ethyl-3-(3-dimethylaminopropyl)carbodiimide-HCl (EDC) afforded the corresponding amide (V). After acid cleavage of the Boc group of (V), the deprotected thiazolidine (VI) was coupled with N-Boc-(S,S)-3-amino-2-hydroxy-4-phenylbutyric acid (VII) using EDC to give diamide (VIII). Further acid deprotection of the Boc group of (VIII) yielded (IX). This was finally coupled with 2-ethyl-3-hydroxybenzoic acid (X) to furnish the title compound. Alternatively, amine (IX) was coupled with 3-acetoxy-2-ethylbenzoic acid (XI) to afford (XII), which was then deacetylated using NaOH in MeOH.

参考文献No.541679
标题:Structure-activity relationship of small-sized HIV protease inhibitors containing allophenylnorstatine
作者:Mimoto, T.; Kato, R.; Takaku, H.; Nojima, S.; Terashima, K.; Misawa, S.; Fukazawa, T.; Ueno, T.; Sato, H.; Shintani, M.; Kiso, Y.; Hayashi, H.
来源:J Med Chem 1999,42(10),1789
合成路线图解说明:

Treatment of penicillamine (I) with formaldehyde produced thiazolidine (II), which was then protected with Boc2O to give carbamate (III). Coupling of (III) with 2-methylbenzylamine (IV) by means of either diphenylphosphoryl chloride (DPPCl), 1-ethyl-3-(3-dimethylaminopropyl)carbodiimide-HCl (EDC) or dicyclohexylcarbodiimide (DCC) afforded the corresponding amide (V). After acid cleavage of the Boc group of (V), the deprotected thiazolidine (VI) was coupled with N-Boc-(S,S)-3-amino-2-hydroxy-4-phenylbutyric acid (VII) using EDC to give diamide (VIII). Further acid deprotection of the Boc group of (VIII) yielded (IX). This was finally coupled with 3-hydroxy-2-methylbenzoic acid (X) to furnish the title compound. Alternatively, amine (IX) was coupled with 3-acetoxy-2-methylbenzoic acid (XI) to afford (XII), which was then deacetylated using NaOH in MeOH.

合成路线图解说明:

Treatment of penicillamine (I) with formaldehyde produced thiazolidine (II), which was then protected with Boc2O to give carbamate (III). Coupling of (III) with 2-methylbenzylamine (IV) by means of either diphenylphosphoryl chloride (DPP-Cl) or 1-ethyl-3-(3-dimethylaminopropyl)carbodiimide-HCl (EDC) afforded the corresponding amide (V). After acid cleavage of the Boc group of (V), the deprotected thiazolidine (VI) was coupled with N-Boc-(S,S)-3-amino-2-hydroxy-4-phenylbutyric acid (VII) using EDC to give diamide (VIII). Further acid deprotection of the Boc group of (VIII) yielded (IX). This was finally coupled with 2-ethyl-3-hydroxybenzoic acid (X) to furnish the title compound. Alternatively, amine (IX) was coupled with 3-acetoxy-2-ethylbenzoic acid (XI) to afford (XII), which was then deacetylated using NaOH in MeOH.

参考文献No.548375
标题:Design and synthesis of a covalently linked HIV-1 protease dimer analog and peptidomimetic inhibitors
作者:Kiso, Y.
来源:Yuki Gosei Kagaku Kyokaishi 1998,56(11),896
合成路线图解说明:

Treatment of penicillamine (I) with formaldehyde produced thiazolidine (II), which was then protected with Boc2O to give carbamate (III). Coupling of (III) with 2-methylbenzylamine (IV) by means of either diphenylphosphoryl chloride (DPPCl), 1-ethyl-3-(3-dimethylaminopropyl)carbodiimide-HCl (EDC) or dicyclohexylcarbodiimide (DCC) afforded the corresponding amide (V). After acid cleavage of the Boc group of (V), the deprotected thiazolidine (VI) was coupled with N-Boc-(S,S)-3-amino-2-hydroxy-4-phenylbutyric acid (VII) using EDC to give diamide (VIII). Further acid deprotection of the Boc group of (VIII) yielded (IX). This was finally coupled with 3-hydroxy-2-methylbenzoic acid (X) to furnish the title compound. Alternatively, amine (IX) was coupled with 3-acetoxy-2-methylbenzoic acid (XI) to afford (XII), which was then deacetylated using NaOH in MeOH.

合成路线图解说明:

Treatment of penicillamine (I) with formaldehyde produced thiazolidine (II), which was then protected with Boc2O to give carbamate (III). Coupling of (III) with 2-methylbenzylamine (IV) by means of either diphenylphosphoryl chloride (DPP-Cl) or 1-ethyl-3-(3-dimethylaminopropyl)carbodiimide-HCl (EDC) afforded the corresponding amide (V). After acid cleavage of the Boc group of (V), the deprotected thiazolidine (VI) was coupled with N-Boc-(S,S)-3-amino-2-hydroxy-4-phenylbutyric acid (VII) using EDC to give diamide (VIII). Further acid deprotection of the Boc group of (VIII) yielded (IX). This was finally coupled with 2-ethyl-3-hydroxybenzoic acid (X) to furnish the title compound. Alternatively, amine (IX) was coupled with 3-acetoxy-2-ethylbenzoic acid (XI) to afford (XII), which was then deacetylated using NaOH in MeOH.

Drug Information Express,Drug R&D,Chemical Database,Patent Search.
Copyright © 2006-2026 Drug Future. All rights reserved.Contact Us