【药物名称】
化学结构式(Chemical Structure):
参考文献No.36768
标题:Indole derivs. useful in the treatment of osteoporosis
作者:Farina, C.; Gagliardi, S.; Parini, C.; Pinza, M.; Nadler, G.M.M.G.; Morvan, M.J.-M. (SmithKline Beecham SpA)
来源:JP 1998512251; WO 9621644
合成路线图解说明:

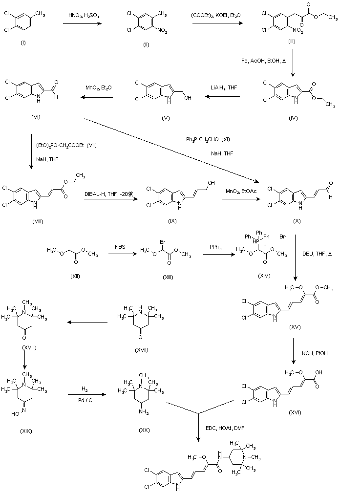
Condensation of dichloronitrotoluene (I) with diethyl oxalate in the presence of KOEt afforded phenylpyruvate (II), and subsequent reductive cyclization gave indole-2-carboxylate (VI). Alternatively, condensation of 3,4-dichlorophenyl hydrazine (III) with ethyl pyruvate (IV) provided hydrazone (V). Then, Fischer indole synthesis with p-TsOH in refluxing toluene yielded a mixture of 5,6-dichloroindole (VI) and the corresponding 4,5-dichloroindole. Ester reduction using LiAlH4 in THF afforded alcohol (VII), which was subsequently oxidized to aldehyde (VIII) with MnO2 in Et2O. Condensation of (VIII) with phosphonate (IX) in the presence of NaH provided E-indolylpropenoate (X). Then, the sequence of DIBAH reduction, followed by oxidation of the resulting allyl alcohol (XI) with MnO2 in EtOAc furnished aldehyde (XII).

合成路线图解说明:

Bromination of methyl methoxyacetate (XIII) with NBS in the presence of benzoyl peroxide in refluxing CCl4 gave (XIV), which was treated with triphenylphosphine to produce the phosphonium salt (XV). Then, phosphonium salt (XV) was condensed with aldehyde (XII) in the presence of DBU in THF to afford indolylpentadienoate (XVI). Finally, ester (XVI) was hydrolyzed to acid (XVII) and then condensed with amine (XVIII) to provide the title amide.

参考文献No.464825
标题:5-(5,6-Dichloro-2-indolyl)-2-methoxy-2, 4-pentadienamides: Novel and selective inhibitors of the vacuolar H+-ATPase of osteoclasts with bone antiresorptive activity
作者:Gagliardi, S.; Nadler, G.; Consolandi, E.; Parini, C.; Morvan, M.; Legave, M.N.; Belfiore, P.; Zocchetti, A.; Clarke, G.D.E.; James, I.; Nambi, P.; Gowen, M.; Farina, C.
来源:J Med Chem 1998,41(10),1568
合成路线图解说明:

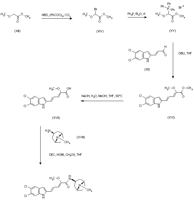
Condensation of dichloronitrotoluene (I) with diethyl oxalate in the presence of KOEt afforded phenylpyruvate (II), and subsequent reductive cyclization gave indole-2-carboxylate (VI). Alternatively, condensation of 3,4-dichlorophenyl hydrazine (III) with ethyl pyruvate (IV) provided hydrazone (V). Then, Fischer indole synthesis with p-TsOH in refluxing toluene yielded a mixture of 5,6-dichloroindole (VI) and the corresponding 4,5-dichloroindole. Ester reduction using LiAlH4 in THF afforded alcohol (VII), which was subsequently oxidized to aldehyde (VIII) with MnO2 in Et2O. Condensation of (VIII) with phosphonate (IX) in the presence of NaH provided E-indolylpropenoate (X). Then, the sequence of DIBAH reduction, followed by oxidation of the resulting allyl alcohol (XI) with MnO2 in EtOAc furnished aldehyde (XII).

合成路线图解说明:

Bromination of methyl methoxyacetate (XIII) with NBS in the presence of benzoyl peroxide in refluxing CCl4 gave (XIV), which was treated with triphenylphosphine to produce the phosphonium salt (XV). Then, phosphonium salt (XV) was condensed with aldehyde (XII) in the presence of DBU in THF to afford indolylpentadienoate (XVI). Finally, ester (XVI) was hydrolyzed to acid (XVII) and then condensed with amine (XVIII) to provide the title amide.

合成路线图解说明:

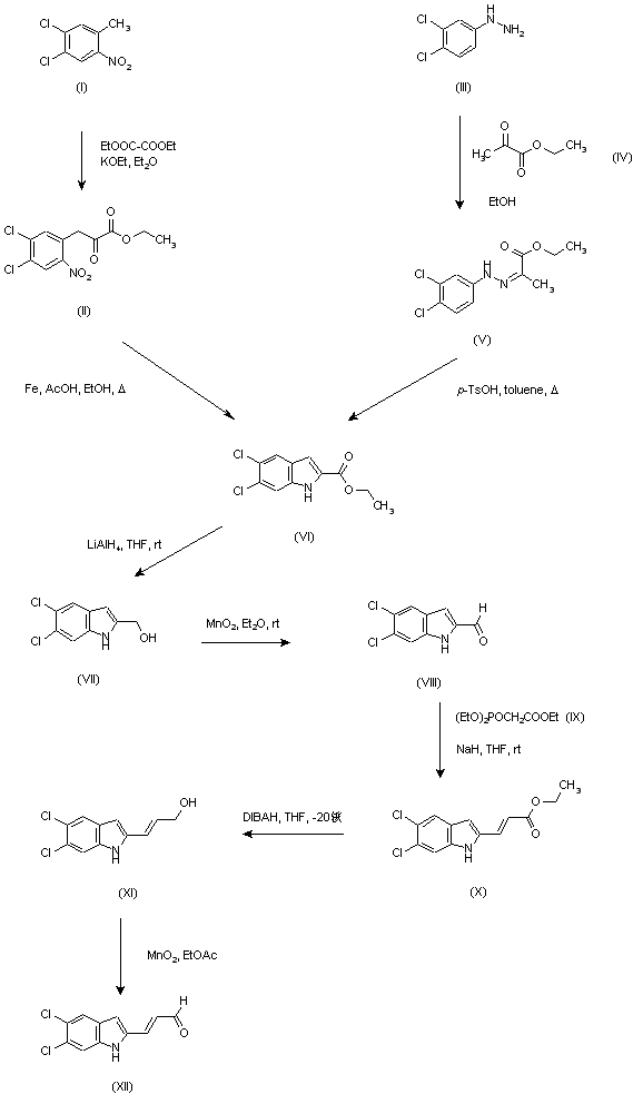
3,4-Dichlorotoluene (I) was nitrated with HNO3 in H2SO4, and the resulting nitrotoluene (II) was condensed with diethyl oxalate in the presence of KOEt to give the phenylpyruvic derivative (III). Then, reductive cyclization of (III) with Fe and AcOH produced ethyl 5,6-dichloroindole-2-carboxylate (IV). Further reduction of (IV) with LiAlH4 yielded alcohol (V), which was oxidized to aldehyde (VI) with MnO2 in Et2O. Horner-Emmons reaction of (VI) with triethyl phosphonoacetate (VII) afforded the indolylpropenoate (VIII). This was reduced to the allyl alcohol (IX) with DIBAL-H, and subsequently oxidized with MnO2 to afford the propenaldehyde (X). In a shorter procedure, Wittig reaction of (VI) with formylmethylene triphenylphosphorane (XI) yielded also propenaldehyde (X) along with the homologated pentadienaldehyde. Phosphonium bromide (XIV) was prepared by bromination of methyl methoxyacetate (XII) with NBS in the presence of dibenzoyl peroxide, followed by condensation of the resulting bromide (XIII) with PPh3. Wittig reaction of this phosphonium reagent with aldehyde (X) in the presence of DBU in boiling THF gave ester (XV). Subsequent saponification of (XV) with ethanolic KOH yielded acid (XVI). The aminopiperidine (XX) was synthesized by N-methylation of tetramethylpiperidone (XVII), followed by formation of the oxime (XIX) and catalytic reduction over Rh/C. Then, condensation of amine (XX) with acid (XVI) using 1-ethyl-3-(dimethylaminopropyl)carbodiimide-HCl (EDC) and 1-hydroxy-7-azabenzotriazole (HOAt) in DMF furnished the target compound.

Drug Information Express,Drug R&D,Chemical Database,Patent Search.
Copyright © 2006-2026 Drug Future. All rights reserved.Contact Us