【药物名称】
化学结构式(Chemical Structure):
参考文献No.464819
标题:Synthesis of dipeptide-type human immunodeficiency virus (HIV) protease inhibitors with a binding unit to GP120
作者:Asagarasu, A.; Takayanagi, N.; Achiwa, K.
来源:Chem Pharm Bull 1998,46(5),867
合成路线图解说明:

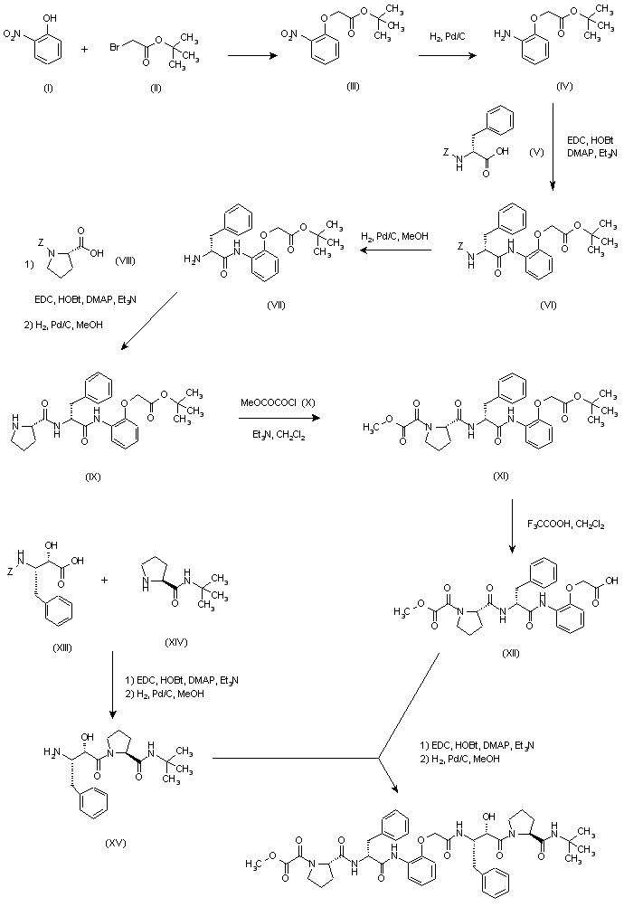
Nitrophenoxyacetate (III) (prepared from 2-nitrophenol (I) and tert-butyl bromoacetate), was reduced with H2 in the presence of Pd/C to give aniline (IV). This was condensed with Z-D-Phe (V) using 1-(3-dimethylaminopropyl)-3-ethylcarbodiimide.HCl (EDC) and 1-hydroxybenzotriazole (HOBt) to yield amide (VI), which was deprotected to amine (VII) by hydrogenolysis in the presence of Pd/C. Subsequent coupling with Z-Pro (VIII), followed by hydrogenolytic deprotection produced (IX). This was coupled with methyl oxalyl chloride (X) to afford (XI). Then, treatment with trifluoroacetic acid in CH2Cl2 gave acid (XII). Finally, dipeptide (XV) (obtained by coupling of protected 3-amino-2-hydroxy-4-phenylbutyric acid (XIII) with tert-butyl prolinamide (XIV)), was condensed with acid (XII) to produce the title compound.

Drug Information Express,Drug R&D,Chemical Database,Patent Search.
Copyright © 2006-2026 Drug Future. All rights reserved.Contact Us