【药物名称】
化学结构式(Chemical Structure):
参考文献No.478077
标题:7-(2-Aminomethyl-1-azetidinyl)-4-oxoquinoline-3-carboxylic acids as potent antibacterial agents: Design, synthesis, and antibacterial activity
作者:Fujita, M.; Chiba, K.; Tominaga, Y.; Hino, K.
来源:Chem Pharm Bull 1998,46(5),787
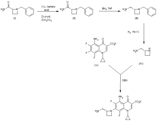
合成路线图解说明:

The optical resolution of 1-benzylazetidine-2-carboxamide (I) with L-tartaric acid in the usual way gave 1-benzylaetidine-2(R)-carboxamide (II), which is reduced with borane-THF complex yielding 2(R)-(aminomethyl)-1-benzylazetidine (III). The debenzylation of (III) with H2 over Pd/C in ethanol affords 2(R)-(aminomethyl)azetidine (IV), which is finally condensed with 5-amino-1-cyclopropyl-6,7,8-trifluoro-4-oxo-1,4-dihydroquinoline-3-carboxylic acid (V) by means of 1,8-diazabicyclo[5.4.0]undec-7-ene (DBU) in hot pyridine.

Drug Information Express,Drug R&D,Chemical Database,Patent Search.
Copyright © 2006-2026 Drug Future. All rights reserved.Contact Us