【药物名称】
化学结构式(Chemical Structure):
参考文献No.530543
标题:Synthesis and biological activity of oxo-7H-benzo[
作者:Luthin, D.R.; Rabinovich, A.K.; Bhumralkar, D.R.; Youngblood, K.L.; Bychowski, R.A.; Dhanoa, D.S.; May, J.M.
来源:Bioorg Med Chem Lett 1999,9(5),765
合成路线图解说明:

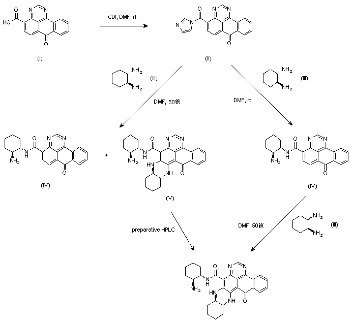
Treatment of 7-oxo-7H-benzo[e]perimidine-4-carboxylic acid (I) with carbonyldiimidazole produced the corresponding acyl imidazolide (II). Reaction of this intermediate with 1,2-cyclohexanediamine (III) in DMF at 50 C afforded a mixture of amide (IV) and the title hexacyclic compound (V), which were separated by means of preparative HPLC. Alternatively, imidazolide (II) was first coupled with one equivalent of diamine (III) in DMF at r.t. to give amide (IV), which was then converted into the title compound by treatment with an excess of diamine (III) at 50 C.

Drug Information Express,Drug R&D,Chemical Database,Patent Search.
Copyright © 2006-2026 Drug Future. All rights reserved.Contact Us