【药物名称】Ortataxel, Bay-59-8862, IDN-5109, SB-T-101131
化学结构式(Chemical Structure):
参考文献No.36767
标题:Anti-tumor cpds., pharmaceutical compsns., methods for preparation thereof and for treatment
作者:Ojima, I.; Bombardelli, E. (Affymax Technologies, NV; State University of New York, Albany)
来源:US 5705508
合成路线图解说明:

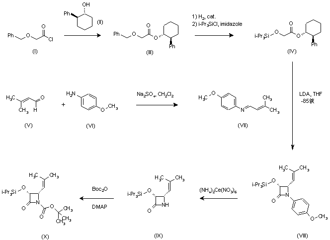
Reaction of benzyloxyacetyl chloride (I) with (-)-trans-2-phenylcyclohexanol (II) afforded chiral ester (III). Subsequent removal of the benzyl group by hydrogenolysis, followed by protection with triisopropylsilyl chloride and imidazole in DMF provided silyl ether (IV). Treatment of (IV) with LDA in THF at -85 C generated the corresponding enolate, which was cyclocondensed with imine (VII), (obtained from 3-methylbutenal (V) and p-anisidine (VI)), to produce azetidinone (VIII). Then, the N-p-methoxyphenyl group was removed by treatment with cerium ammonium nitrate in cold ACN-H2O, and the resulting azetidinone (IX) was coupled with di-tert-butyl dicarbonate in the presence of DMAP and Et3N to yield (X).

合成路线图解说明:

Protection of 14b-hydroxy-10-deacetylbaccatin (XI) with triethylsilyl chloride in pyridine-DMF provided the 7-silyl ether (XII). This compound was condensed with phosgene in CH2Cl2 to give cyclic carbonate (XIII), which was deprotonated with lithium hexamethyldisilazide (LiHMDS) in THF at -40 C, and then selectively acetylated at the 10 hydroxyl group with AcCl. The resulting baccatin derivative (XIV) was coupled with azetidinone (X) in the presence of LiHMDS in THF at -40 C to provide ester (XV), which was then desilylated by treatment with HF. Finally, the resulting isobutenyl compound (XVI) was hydrogenated in the presence of Pd/C to produce the target isobutyl derivative.

合成路线图解说明:

Semisynthesis of the first synthon: The diterpene 14beta-hydroxy-10-deacetylbaccatin III (I) was extracted in a highly purified form from the needles of Taxus wallichiana cultivated in the Himalayan region. It was then converted in 7-O-(triethylsilyl)-14beta-hydroxybaccatin III-1,14-carbonate (IV) according to the following scheme: 14beta-hydroxy-10-deacetylbaccatin III (I) was dissolved in anhydrous DMF and treated with N-methylimidazole and chlorotriethylsilane to provide 7-O-(triethylsilyl)-10-deacetyl-14beta-hydroxybaccatin III (II) in an almost quantitative yield. Compound (II) was dissolved in a mixture of methylene chloride and dry pyridine and added slowly to a cooled phosgene solution giving 7-O-(triethylsilyl-10-deacetyl-14beta-hydroxybaccatin III-1,14-carbonate (III). After acetylation of compound (III) in pyridine and acetyl chloride, the synthon (IV) was obtained and was ready for coupling.

合成路线图解说明:

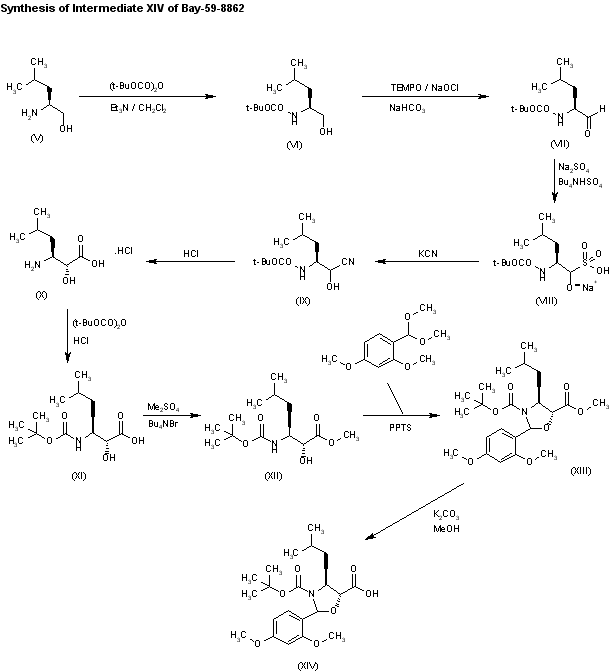
Synthesis of the second synthon: L-Leucinol (V) was converted into the protected derivative (VI) by treatment with tert-butoxycarbonyl anhydride in methylene chloride. Oxidation of compound (VI) with NaOCl and TEMPO in the presence of sodium bromide yielded the aldehyde (VII). This aldehyde (VII), when treated with sodium bisulfite overnight at -5 to 0 C, produced the sodium bisulfite salt derivative (VIII), which was treated with KCN to obtain the nitrile derivative (IX). This nitrile derivative (IX) was heated under reflux with concentrated HCl, and after several crystallizations, afforded the desired amino acid (2R,3S)-3-amino-2-hydroxy-5-methylhexanoic acid (X). Amino acid (X) was dissolved in a mixture of water/dioxane and then treated with tert-butoxycarbonyl anhydride in the presence of TEA to yield the Boc derivative (XI), which was converted into the mixture of methyl esters (XII) in a conventional manner. Compound (XII) was heated with 2,4-dimethoxybenzaldehyde dimethyl acetal in THF in the presence of pyridinium p-toluensulfonate as catalyst to obtain the acetal (XIII). When hydrolyzed with potassium carbonate in aqueous methanol, acetal (XIII) yielded (4S,5R)-3-(tert-butoxycarbonyl)-2-(2,4-dimethoxyphenyl)-4-isobutyloxazolidine-5-carboxylic acid (XIV).

合成路线图解说明:

Coupling reaction of the two synthons: (4S,5R)-3-(tert-Butoxycarbonyl)-2-(2,4-dimethoxyphenyl)-4-isobutyloxazolidine-5-carboxylic acid (XIV) was dissolved in methylene chloride and added to 7-O-(triethylsilyl)-14beta-hydroxybaccatin III-1,14-carbonate (IV) in toluene, in the presence of DMAP and DCC, to yield 7-O-(triethylsilyl)-14beta-hydroxybaccatin III-1,14-carbonate 13-[3-(tert-butoxycarbonyl)-2-(2,4-dimethoxyphenyl)-4-isobutyl-5-oxazolidinecarboxylate] (XV) (Scheme 26450201c). Deprotection reaction of the coupling product 7-O-(Triethylsilyl)-14beta-hydroxybaccatin III-1,14-carbonate 13-[3-(tert-butoxycarbonyl)-2-(2,4-dimethoxyphenyl)-4-isobutyl-5-oxazolidinecarboxylate] (XV) was dissolved in anhydrous methanol containing a catalytic amount of dry HCl at 0 C. After work-up and crystallization from ethanol/water, 13-[N-(tert-butoxycarbonyl)-b-isobutylisoserinyl]-14beta-hydroxybaccatin III-1,14-carbonate (BAY 59-8862) was obtained.

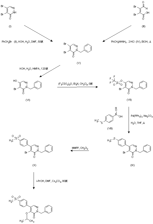
合成路线图解说明:

Intermediate 2-benzylpyridazinone (V) was obtained either by alkylation of dibromopyridazinone (I) with benzyl bromide (II) or by condensation of mucobromic acid (III) with benzylhydrazine (IV). Alkaline hydrolysis of (V) with KOH in HMPA then provided the hydroxy derivative (VI). Further treatment of (VI) with trifluoromethanesulfonic anhydride and Et3N produced sulfonate (VII), which was subsequently coupled with 4-(methylthio)phenylboronic acid (VIII) in the presence of palladium catalyst and Na2CO3. Oxidation of the resulting sulfide (IX) with magnesium monoperphthalate (MMPP) in CH2Cl2 gave the corresponding sulfone (X). Finally, the reaction of (X) with isopropanol in the presence of Cs2CO3 furnished the target isopropyl ether.

参考文献No.464810
标题:Syntheses and structure-activity relationships of taxoids derived from 14beta-hydroxy-10-deacetylbaccatin III
作者:Ojima, I.; Slater, J.C.; Kuduk, S.D.; Takeuchi, C.S.; Gimi, R.H.; Sun, C.M.; Park, Y.H.; Pera, P.; Veith, J.M.; Bernacki, R.J.
来源:J Med Chem 1997,40(3),267
合成路线图解说明:

Reaction of benzyloxyacetyl chloride (I) with (-)-trans-2-phenylcyclohexanol (II) afforded chiral ester (III). Subsequent removal of the benzyl group by hydrogenolysis, followed by protection with triisopropylsilyl chloride and imidazole in DMF provided silyl ether (IV). Treatment of (IV) with LDA in THF at -85 C generated the corresponding enolate, which was cyclocondensed with imine (VII), (obtained from 3-methylbutenal (V) and p-anisidine (VI)), to produce azetidinone (VIII). Then, the N-p-methoxyphenyl group was removed by treatment with cerium ammonium nitrate in cold ACN-H2O, and the resulting azetidinone (IX) was coupled with di-tert-butyl dicarbonate in the presence of DMAP and Et3N to yield (X).

合成路线图解说明:

Protection of 14b-hydroxy-10-deacetylbaccatin (XI) with triethylsilyl chloride in pyridine-DMF provided the 7-silyl ether (XII). This compound was condensed with phosgene in CH2Cl2 to give cyclic carbonate (XIII), which was deprotonated with lithium hexamethyldisilazide (LiHMDS) in THF at -40 C, and then selectively acetylated at the 10 hydroxyl group with AcCl. The resulting baccatin derivative (XIV) was coupled with azetidinone (X) in the presence of LiHMDS in THF at -40 C to provide ester (XV), which was then desilylated by treatment with HF. Finally, the resulting isobutenyl compound (XVI) was hydrogenated in the presence of Pd/C to produce the target isobutyl derivative.

参考文献No.538020
标题:Growth inhibition of gastric cancer cells by troglitazone, a ligand for peroxisome proliferator-activated receptor
作者:Takahashi, N.; et al.
来源:Dig Dis Week (May 16 1999, Orlando) 1999,Abst 3684
合成路线图解说明:

Lithium enolate (II), generated from chiral ester (I) and LDA at -84 C, was cyclocondensed with imine (III) to furnish azetidinone (IV). The N-p-methoxyphenyl group of (IV) was then removed by oxidative treatment with ceric ammonium nitrate at -10 C, and the resulting azetidinone (V) was protected with Boc2O to afford tert-butyl carbamate (VI).

合成路线图解说明:

The C-7 hydroxyl group of 10-deacetyl baccatin III (VII) was selectively protected with triethylsilyl chloride and imidazole to yield silyl ether (VIII). Subsequent selective acylation of (VIII) at C-10 hydroxyl group with propionyl chloride in the presence of LiN(SiMe3)2 afforded ester (IX). The title taxoid was then obtained by further coupling with b-lactam (VI) using LiN(SiMe3)2 in THF at low temperature, followed by desilylation with HF in pyridine.

合成路线图解说明:

Reaction of benzyloxyacetyl chloride (I) with (-)-trans-2-phenylcyclohexanol (II) afforded chiral ester (III). Subsequent removal of the benzyl group by hydrogenolysis, followed by protection with triisopropylsilyl chloride and imidazole in DMF provided silyl ether (IV). Treatment of (IV) with LDA in THF at -85 C generated the corresponding enolate, which was cyclocondensed with imine (VII), (obtained from 3-methylbutenal (V) and p-anisidine (VI)), to produce azetidinone (VIII). Then, the N-p-methoxyphenyl group was removed by treatment with cerium ammonium nitrate in cold ACN-H2O, and the resulting azetidinone (IX) was coupled with di-tert-butyl dicarbonate in the presence of DMAP and Et3N to yield (X).

合成路线图解说明:

Protection of 14b-hydroxy-10-deacetylbaccatin (XI) with triethylsilyl chloride in pyridine-DMF provided the 7-silyl ether (XII). This compound was condensed with phosgene in CH2Cl2 to give cyclic carbonate (XIII), which was deprotonated with lithium hexamethyldisilazide (LiHMDS) in THF at -40 C, and then selectively acetylated at the 10 hydroxyl group with AcCl. The resulting baccatin derivative (XIV) was coupled with azetidinone (X) in the presence of LiHMDS in THF at -40 C to provide ester (XV), which was then desilylated by treatment with HF. Finally, the resulting isobutenyl compound (XVI) was hydrogenated in the presence of Pd/C to produce the target isobutyl derivative.

参考文献No.620123
标题:BAY 59-8862
作者:Laccabue, D.; Pratesi, G.
来源:Drugs Fut 2001,26(6),533
合成路线图解说明:

Semisynthesis of the first synthon: The diterpene 14beta-hydroxy-10-deacetylbaccatin III (I) was extracted in a highly purified form from the needles of Taxus wallichiana cultivated in the Himalayan region. It was then converted in 7-O-(triethylsilyl)-14beta-hydroxybaccatin III-1,14-carbonate (IV) according to the following scheme: 14beta-hydroxy-10-deacetylbaccatin III (I) was dissolved in anhydrous DMF and treated with N-methylimidazole and chlorotriethylsilane to provide 7-O-(triethylsilyl)-10-deacetyl-14beta-hydroxybaccatin III (II) in an almost quantitative yield. Compound (II) was dissolved in a mixture of methylene chloride and dry pyridine and added slowly to a cooled phosgene solution giving 7-O-(triethylsilyl-10-deacetyl-14beta-hydroxybaccatin III-1,14-carbonate (III). After acetylation of compound (III) in pyridine and acetyl chloride, the synthon (IV) was obtained and was ready for coupling.

合成路线图解说明:

Synthesis of the second synthon: L-Leucinol (V) was converted into the protected derivative (VI) by treatment with tert-butoxycarbonyl anhydride in methylene chloride. Oxidation of compound (VI) with NaOCl and TEMPO in the presence of sodium bromide yielded the aldehyde (VII). This aldehyde (VII), when treated with sodium bisulfite overnight at -5 to 0 C, produced the sodium bisulfite salt derivative (VIII), which was treated with KCN to obtain the nitrile derivative (IX). This nitrile derivative (IX) was heated under reflux with concentrated HCl, and after several crystallizations, afforded the desired amino acid (2R,3S)-3-amino-2-hydroxy-5-methylhexanoic acid (X). Amino acid (X) was dissolved in a mixture of water/dioxane and then treated with tert-butoxycarbonyl anhydride in the presence of TEA to yield the Boc derivative (XI), which was converted into the mixture of methyl esters (XII) in a conventional manner. Compound (XII) was heated with 2,4-dimethoxybenzaldehyde dimethyl acetal in THF in the presence of pyridinium p-toluensulfonate as catalyst to obtain the acetal (XIII). When hydrolyzed with potassium carbonate in aqueous methanol, acetal (XIII) yielded (4S,5R)-3-(tert-butoxycarbonyl)-2-(2,4-dimethoxyphenyl)-4-isobutyloxazolidine-5-carboxylic acid (XIV).

合成路线图解说明:

Coupling reaction of the two synthons: (4S,5R)-3-(tert-Butoxycarbonyl)-2-(2,4-dimethoxyphenyl)-4-isobutyloxazolidine-5-carboxylic acid (XIV) was dissolved in methylene chloride and added to 7-O-(triethylsilyl)-14beta-hydroxybaccatin III-1,14-carbonate (IV) in toluene, in the presence of DMAP and DCC, to yield 7-O-(triethylsilyl)-14beta-hydroxybaccatin III-1,14-carbonate 13-[3-(tert-butoxycarbonyl)-2-(2,4-dimethoxyphenyl)-4-isobutyl-5-oxazolidinecarboxylate] (XV) (Scheme 26450201c). Deprotection reaction of the coupling product 7-O-(Triethylsilyl)-14beta-hydroxybaccatin III-1,14-carbonate 13-[3-(tert-butoxycarbonyl)-2-(2,4-dimethoxyphenyl)-4-isobutyl-5-oxazolidinecarboxylate] (XV) was dissolved in anhydrous methanol containing a catalytic amount of dry HCl at 0 C. After work-up and crystallization from ethanol/water, 13-[N-(tert-butoxycarbonyl)-b-isobutylisoserinyl]-14beta-hydroxybaccatin III-1,14-carbonate (BAY 59-8862) was obtained.

Drug Information Express,Drug R&D,Chemical Database,Patent Search.
Copyright © 2006-2026 Drug Future. All rights reserved.Contact Us