【药物名称】
化学结构式(Chemical Structure):
参考文献No.466627
标题:Synthesis of grevillins and their biogenetic interrelationship with terphenylquinones, xylerythrins and pulvinic acids
作者:Pattenden, G.; et al.
来源:Tetrahedron Lett 1987,28(4),4749
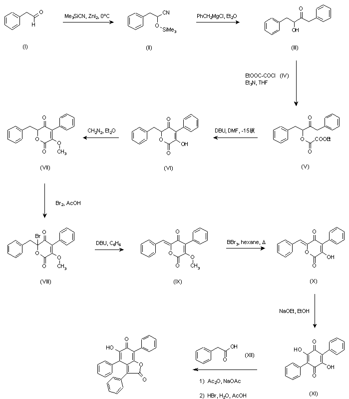
合成路线图解说明:

Addition of benzylmagnesium chloride to O-(trimethylsilyl)cyanohydrin (II) (obtained from phenylacetaldehyde (I) and Me3SiCN), led to benzylacyloin (III). Esterification with ethyl oxalyl chloride (IV) in the presence of Et3N afforded oxalate (V), which was cyclized with DBU in cold DMF to provide dihydrogrevillin (VI). This was methylated with ethereal diazomethane to give ether (VII), and then brominated in AcOH. Elimination of the resulting bromide (VIII) by treatment with DBU produced (IX), which was demethylated with BBr3 to afford grevillin (X). This compound was isomerized with NaOEt in EtOH to produce terphenyl quinone (XI). Finally, Perkin reaction with phenylacetic acid (XII), followed by treatment with HBr furnished the title compound.

参考文献No.466628
标题:Synthesis of grevillins, novel pyrandione pigments of fungi. Biogenetic ibnterrelationships between grevillins, pulvinic acids, terphenylquinones and xylerythrins
作者:Pattenden, G.; et al.
来源:J Chem Soc - Perkins Trans I 1991,2363
合成路线图解说明:

Addition of benzylmagnesium chloride to O-(trimethylsilyl)cyanohydrin (II) (obtained from phenylacetaldehyde (I) and Me3SiCN), led to benzylacyloin (III). Esterification with ethyl oxalyl chloride (IV) in the presence of Et3N afforded oxalate (V), which was cyclized with DBU in cold DMF to provide dihydrogrevillin (VI). This was methylated with ethereal diazomethane to give ether (VII), and then brominated in AcOH. Elimination of the resulting bromide (VIII) by treatment with DBU produced (IX), which was demethylated with BBr3 to afford grevillin (X). This compound was isomerized with NaOEt in EtOH to produce terphenyl quinone (XI). Finally, Perkin reaction with phenylacetic acid (XII), followed by treatment with HBr furnished the title compound.

Drug Information Express,Drug R&D,Chemical Database,Patent Search.
Copyright © 2006-2026 Drug Future. All rights reserved.Contact Us