【药物名称】
化学结构式(Chemical Structure):
参考文献No.462976
标题:A novel super-potent neurokinin A receptor antagonist containing dehydroalanine
作者:Lombardi, A.; D'Agostino, B.; Nastri, F.; D'Andrea, L.D.; Filippelli, A.; Rossi, F.; Pavone, V.
来源:Bioorg Med Chem Lett 1998,8(10),1153
合成路线图解说明:

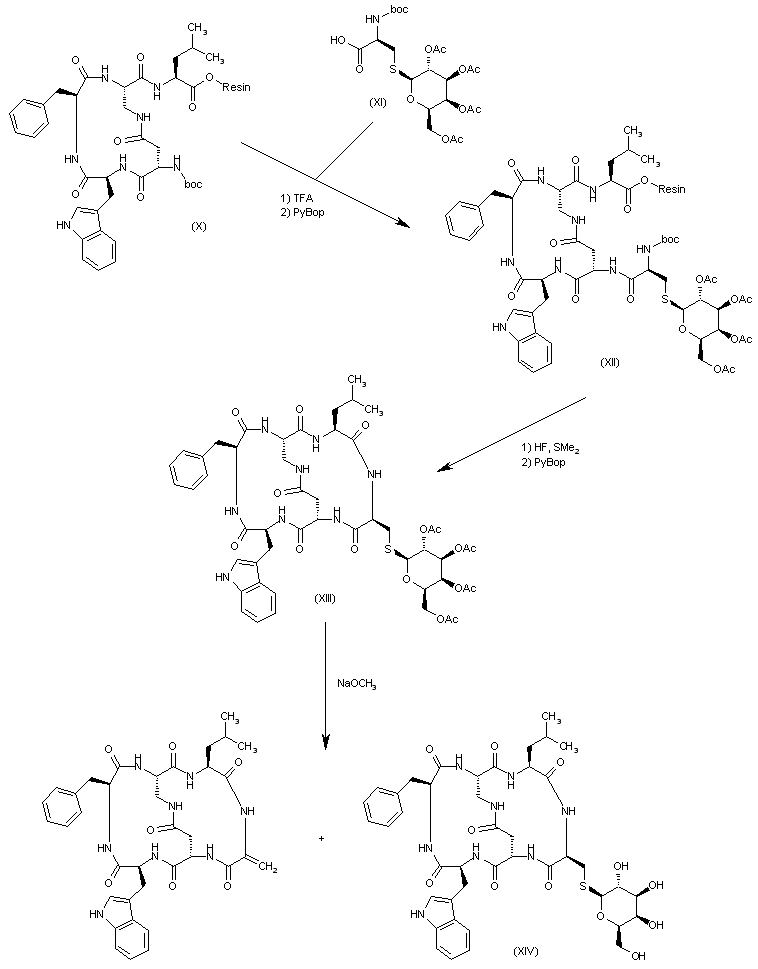
The deprotection of the Boc-amino group of the aspartic acid of (X) allows its condensation with the protected S-(tetra-O-acetyl-beta-D-galactopyranosyl)-L-cysteine (XI) affording the monocyclic hexapeptide (XII), which is treated first with HF, SMe2, p-cresol, and p-thiocresol to eliminate the solid phase resin and the Boc protecting group of the cysteine residue, and then cyclized by means of PyBop to afford the bicyclic hexapeptide (XIII). Finally, this compound is treated with sodium methoxide (c>5 mM) for more than 5 h. to give a mixture of the already known galactopyranosyl-hexapaptide Neuronorm (XIV) and the target compound (the dehydroalanyl derivative), which were separated by RP-HPLC.

参考文献No.556264
标题:Neuronorm is a potent and water soluble neurokinin A receptor antagonist
作者:Lombardi, A.; D'Agostino, B.; Filippelli, A.; Pedone, C.; Matera, M.G.; Falciani, M.; De Rosa, M.; Rossi, F.; Pavone, V.
来源:Bioorg Med Chem Lett 1998,8(13),1735
合成路线图解说明:

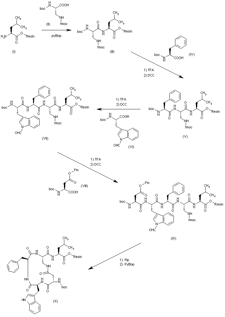
The solid phase method for the synthesis of peptides is here used starting with a phenylacetamidomethyl resin coupled with boc-protected-L-leucine (I), which was coupled successively with protected L-2,3-diaminopropionic acid (II) yielding dipeptide (III), with protected L-phenylalanine (IV), yielding tripeptide (V), with protected L-tryptophan (VI) yielding tetrapeptide (VII), and with protected L-aspartic acid (VIII), yielding pentapeptide (IX). The cyclization of (IX) by selective deprotection of the side chains of diaminopropionic acid and aspartic acid with piperidine in DMF, followed by cyclization by means of PyBop and DIEA in DMF affords the cyclic pentapeptide (X).

合成路线图解说明:

The deprotection of the Boc-amino group of the aspartic acid of (X) allows its condensation with the protected S-(tetra-O-acetyl-beta-D-galactopyranosyl)-L-cysteine (XI) affording the monocyclic hexapeptide (XII), which is treated first with HF, SMe2, p-cresol, and p-thiocresol to eliminate the solid phase resin and the Boc protecting group of the cysteine residue, and then cyclized by means of PyBop to afford the bicyclic hexapeptide (XIII). Finally, this compound is treated with sodium methoxide (c>5 mM) for more than 5 h. to give a mixture of the already known galactopyranosyl-hexapaptide Neuronorm (XIV) and the target compound (the dehydroalanyl derivative), which were separated by RP-HPLC.

Drug Information Express,Drug R&D,Chemical Database,Patent Search.
Copyright © 2006-2026 Drug Future. All rights reserved.Contact Us