【药物名称】EKI-785, CL-387785
化学结构式(Chemical Structure):
参考文献No.36330
标题:4-Aminoquinazoline EGFR inhibitors
作者:Wissner, A.; Johnson, B.D.; Floyd, M.B. Jr.; Kitchen, D.B. (American Cyanamid Co.)
来源:EP 0787722; US 5760041
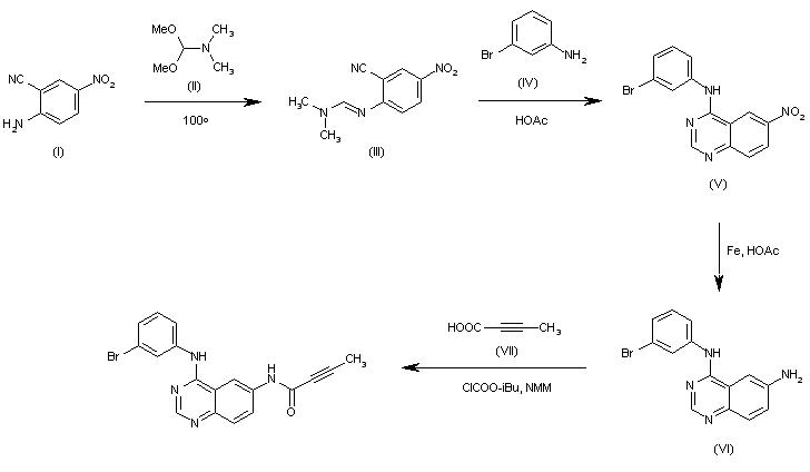
合成路线图解说明:

The reaction of 2-amino-5-nitrobenzoic acid (I) with N,N-dimethylformamide dimethylacetal (II) by heating at 100 C gives the formamidine (III), which is cyclized with 3-bromoaniline (IV) in refluxing acetic acid yielding 4-(3-bromophenyl)-6-nitroquinazoline (V). The reduction of (V) with Fe and acetic acid affords the amine (VI), which is finally acylated with 2-butynoic acid by means of isobutyl chloroformate and N-methylmorpholine in THF.

Drug Information Express,Drug R&D,Chemical Database,Patent Search.
Copyright © 2006-2026 Drug Future. All rights reserved.Contact Us