【药物名称】KF-26777
化学结构式(Chemical Structure):
参考文献No.36315
标题:Fused purine derivs.
作者:Tsumuki, H.; Saki, M.; Nonaka, H.; Ichimura, M.; Shimada, J.; Suzuki, F.; Ichikawa, S.; Kosaka, N. (Kyowa Hakko Kogyo Co., Ltd.)
来源:EP 0884318; US 6306847; WO 9815555
合成路线图解说明:

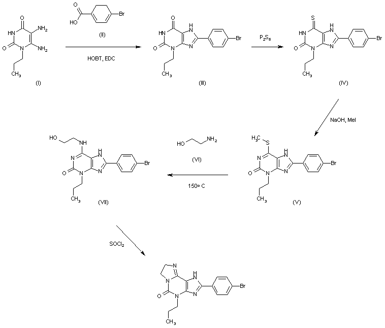
The cyclization of 5,6-diamino-1-propylpyrimidine-2,4(1H,3H)-dione (I) with 4-bromobenzoic acid (II) by means of EDC and HOBT in DMF gives 8-(4-bromophenyl)-3-propylxanthine (III), which is treated with P2S5 in refluxing pyridine to yield the 6-thioxanthine (IV). The reaction of (IV) with Me-I and NaOH in ethanol affords the methylsulfanylpurin-2-one (V), which is treated with ethanolamine (VI) in DMSO at 150 C to provide the 2-hydroxyethylamino derivative (VII). Finally, this compound is cyclized by means of SOCl2 in refluxing chloroform to provide the target imidazopurine.

Drug Information Express,Drug R&D,Chemical Database,Patent Search.
Copyright © 2006-2026 Drug Future. All rights reserved.Contact Us