【药物名称】
化学结构式(Chemical Structure):
参考文献No.486207
标题:Carboxy-substituted cinnamides: A novel series of potent, orally active LTB4 receptor antagonists
作者:Greenspan, P.D.; Fujimoto, R.A.; Marshall, P.J.; Raychaudhuri, A.; Lipson, K.E.; Zhou, H.; Doti, R.A.; Coppa, D.E.; Zhu, L.; Pelletier, R.; Uziel-Fusi, S.; Jackson, R.H.; Chin, M.H.; Kotyuk, B.L.; Fitt, J.J.
来源:J Med Chem 1999,42(1),164
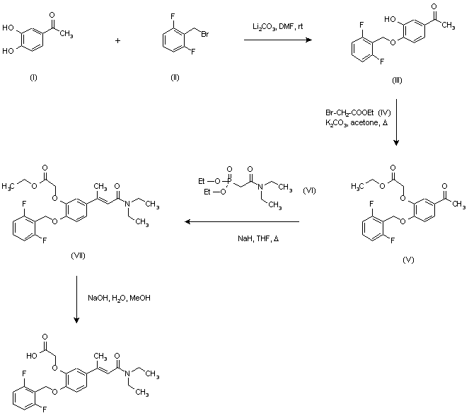
合成路线图解说明:

3',4'-Dihydroxyacetophenone (I) was selectively alkylated at position 4' with alpha-bromo-2,6-difluorotoluene (II) in the presence of Li2CO3 in DMF. The resulting ether (III) was further alkylated with ethyl bromoacetate (IV) to give (V). Subsequent Horner-Emmons condensation of (V) with the phosphonoacetamide (VI) provided cinnamide (VII). The target carboxylic acid was then obtained by saponification of the ethyl ester of (VII) with NaOH.

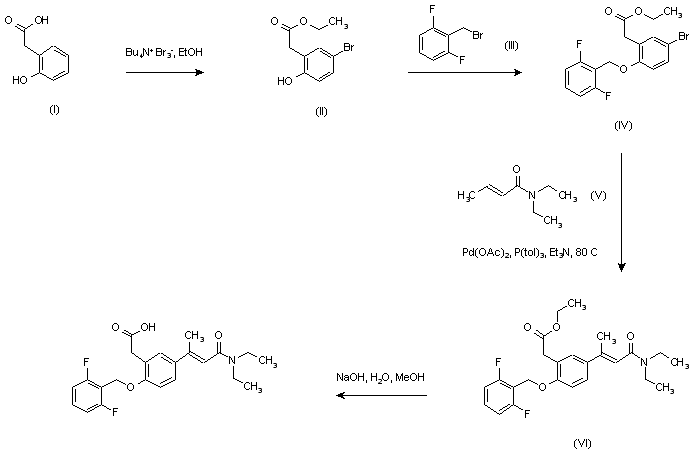
合成路线图解说明:

Simultaneous bromination and esterification of 2'-hydroxyphenylacetic acid (I) using tetrabutylammonium tribromide in EtOH at r.t. afforded (II), which was O-alkylated with alpha-bromo-2,6-difluorotoluene (III) in the presence of K2CO3 in refluxing acetone to yield ether (IV). Subsequent Heck olefination of (IV) with diethyl crotonamide (V) in the presence of palladium acetate and tri-o-tolylphosphine provided cinnamide (VI). The target carboxylic acid was then obtained by saponification of the ethyl ester of (VI) with NaOH.

Drug Information Express,Drug R&D,Chemical Database,Patent Search.
Copyright © 2006-2026 Drug Future. All rights reserved.Contact Us