【药物名称】
化学结构式(Chemical Structure):
参考文献No.36022
标题:Spirocyclic dopamine receptor subtype ligands
作者:Butler, T.W.; Fliri, A.F.J. (Pfizer Inc.)
来源:EP 0925291; JP 2000502360; WO 9808835
合成路线图解说明:

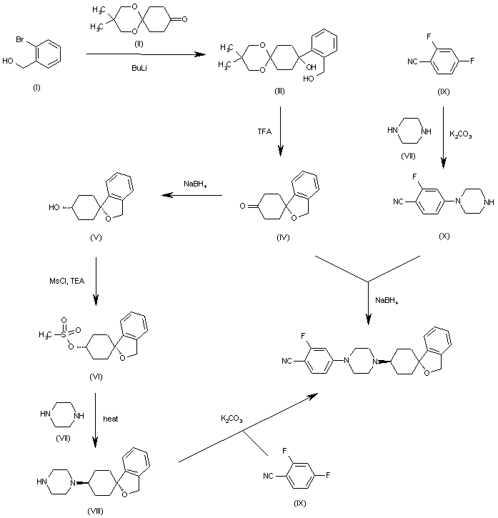
This compound has been obtained by two different ways: 1) The condensation of 2-bromobenzyl alcohol (I) with cyclohexane-1,4-dione monoethyleneketal (II) by means of BuLi in THF gives the expected adduct (III), which is cyclized and deprotected with TFA yielding the spirocyclohexanone (IV). The reduction of (IV) with NaBH4 in ethanol affords the cis-spirocyclohexanol (V), which by reaction with MsCl and TEA in dichloromethane is converted into the mesylate (VI). The condensation of (VI) with piperazine (VII) in refluxing isopropanol provides the trans-intermediate (VIII), which is finally condensed with 2,4-difluorobenzonitrile (IX) by means of K2CO3 in refluxing acetonitrile. 2) The condensation of piperazine (VII) with 2,4-difluorobenzonitrile (IX) by means of K2CO3 in acetonitrile gives 2-fluoro-4-(1-piperazinyl)benzonitrile (X), which is then reductocondensed with spirocyclohexanone (IV) by means of NaBH4 and 2-ethylhexanoic acid in CH2Cl2 to afford the target compound.

参考文献No.563514
标题:Synthesis of a spiro[cyclohex-1,1'-isobenzofuranyl]dopamine receptor antagonist
作者:Urban, F.J.; et al.
来源:Org Process Res Dev 1999,3(6),460
合成路线图解说明:

This compound has been obtained by two different ways: 1) The condensation of 2-bromobenzyl alcohol (I) with cyclohexane-1,4-dione monoethyleneketal (II) by means of BuLi in THF gives the expected adduct (III), which is cyclized and deprotected with TFA yielding the spirocyclohexanone (IV). The reduction of (IV) with NaBH4 in ethanol affords the cis-spirocyclohexanol (V), which by reaction with MsCl and TEA in dichloromethane is converted into the mesylate (VI). The condensation of (VI) with piperazine (VII) in refluxing isopropanol provides the trans-intermediate (VIII), which is finally condensed with 2,4-difluorobenzonitrile (IX) by means of K2CO3 in refluxing acetonitrile. 2) The condensation of piperazine (VII) with 2,4-difluorobenzonitrile (IX) by means of K2CO3 in acetonitrile gives 2-fluoro-4-(1-piperazinyl)benzonitrile (X), which is then reductocondensed with spirocyclohexanone (IV) by means of NaBH4 and 2-ethylhexanoic acid in CH2Cl2 to afford the target compound.

Drug Information Express,Drug R&D,Chemical Database,Patent Search.
Copyright © 2006-2026 Drug Future. All rights reserved.Contact Us