【药物名称】APHS
化学结构式(Chemical Structure):
参考文献No.40965
标题:Selective inhibitors of prostaglandin endoperoxide synthase-2
作者:Marnett, L.J.; Kalgutkar, A.S. (Vanderbilt University)
来源:US 5973191
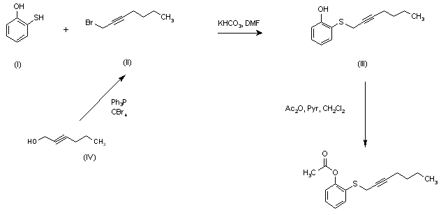
合成路线图解说明:

2-Hydroxythiophenol (I) was alkylated at the S atom with 1-bromo-2-heptyne (II) (obtained by reaction of 2-heptyn-1-ol (IV) with Ph3P and CBr4 in pyridine) in the presence of KHCO3 in DMF at r.t. to afford sulfide (III). Subsequent acetylation with Ac2O and pyridine gave the desired acetate.

参考文献No.478969
标题:Covalent modification of cyclooxygenase-2 (COX-2) by 2-acetoxyphenyl alkyl sulfides, a new class of selective COX-2 inactivators
作者:Kalgutkar, A.S.; Kozak, K.R.; Crews, B.C.; Hochgesang, G.P. Jr.; Marnett, L.J.
来源:J Med Chem 1998,41(24),4800
合成路线图解说明:

2-Hydroxythiophenol (I) was alkylated at the S atom with 1-bromo-2-heptyne (II) (obtained by reaction of 2-heptyn-1-ol (IV) with Ph3P and CBr4 in pyridine) in the presence of KHCO3 in DMF at r.t. to afford sulfide (III). Subsequent acetylation with Ac2O and pyridine gave the desired acetate.

Drug Information Express,Drug R&D,Chemical Database,Patent Search.
Copyright © 2006-2026 Drug Future. All rights reserved.Contact Us