【药物名称】NNC-55-0118
化学结构式(Chemical Structure):
参考文献No.690834
标题:6-Chloro-3-alkylamino-4H-thieno[3,2-e]-1,2,4-thiadiazine 1,1-dioxide derivatives potently and selectively activate ATP sensitive potassium channels of pancreatic beta-cells
作者:Nielsen, F.E.; Bodvarsdottir, T.B.; Worsaae, A.; MacKay, P.; Stidsen, C,E.; Boonen, H.C.; Pridal, L.; Arkhammar, P.O.; Wahl, P.; Ynddal, L.; Junager, F.; Dragsted, N.; Tagmose, T.M.; Mogensen, J.P.; Koch, A.; Treppendahl, S.P.; Hansen, J.B.
来源:J Med Chem 2002,45(19),4171
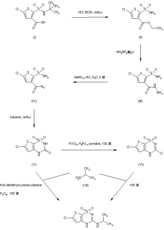
合成路线图解说明:

The title compound can be obtained by several synthetic procedures. Esterification of the thiophenecarboxylic acid (I) with simultaneous N-t-butyl group cleavage in ethanolic HCl affords (II). Ethyl ester (II) is then converted to hydrazide (III) with hydrazine hydrate. Reaction of (III) with NaNO2/HCl leads to the acyl azide (IV), which is subsequently subjected to Curtius rearrangement in boiling toluene to produce the thienothiadiazine derivative (V). Condensation of (V) with isopropylamine (VII) by heating with P2O5 furnishes the target compound in low yield. In an improved method, chlorination of (V) in the presence of POCl3 leads to (VI), which is further reacted with isopropylamine (VII) to afford the title compound

合成路线图解说明:

In an alternative procedure, metalation of thiophenesulfonamide (I) with butyllithium, followed by quenching with p-toluenesulfonyl azide affords azide (II), which is further reduced to amine (III) with NaBH4 in the presence of a quaternary phosphonium salt. The N-t-butyl group of (III) is then cleaved with fuming HCl to afford (IV). Condensation of sulfonamide (IV) with isopropyl isothiocyanate furnishes the sulfonyl thiourea (V). This is finally cyclized to the desired thienothiadiazine by treatment with phosgene in the presence of triethylamine

合成路线图解说明:

In an alternative procedure, metalation of thiophenesulfonamide (I) with butyllithium, followed by quenching with p-toluenesulfonyl azide affords azide (II), which is further reduced to amine (III) with NaBH4 in the presence of a quaternary phosphonium salt. The N-t-butyl group of (III) is then cleaved with fuming HCl to afford (IV). Condensation of sulfonamide (IV) with isopropyl isothiocyanate furnishes the sulfonyl thiourea (V). This is finally cyclized to the desired thienothiadiazine by treatment with phosgene in the presence of triethylamine

Drug Information Express,Drug R&D,Chemical Database,Patent Search.
Copyright © 2006-2026 Drug Future. All rights reserved.Contact Us