【药物名称】CRA-2059, APC-2059
化学结构式(Chemical Structure):
参考文献No.45730
标题:Compsns. and methods for treating mast-cell inflammatory condition
作者:Gangloff, A.R.; Kuo, E.Y.-L.; Dener, J.M.; Rice, K.D. (Axys Pharmaceuticals, Inc.)
来源:US 6022969; WO 9609297
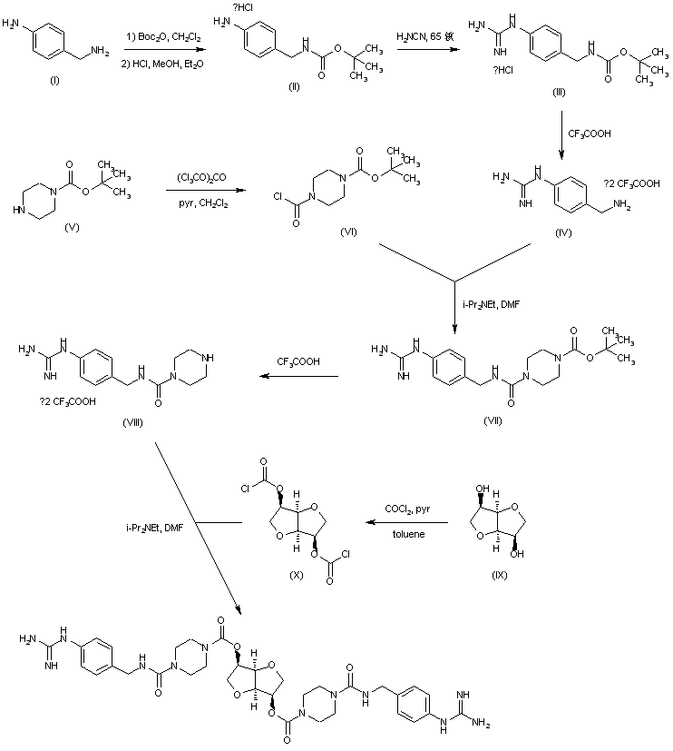
合成路线图解说明:

4-Aminobenzylamine (I) was protected as the tert-butyl carbamate (II) upon treatment with Boc2O. Heating of (II) with cyanamide afforded guanidine (III). The Boc protecting group of (III) was then removed by means of trifluoroacetic acid to furnish 4-guanidinobenzylamine (IV). 4-Boc-piperazine-1-carbonyl chloride (VI) (obtained by treatment of N-Boc piperazine (V) with triphosgene) was condensed with amine (IV), yielding urea (VII). The N-Boc group of (VII) was then deprotected with trifluoroacetic acid to give (VIII) (1). Dianhydromannitol (X) was converted to bischloroformate (XI) by treatment with phosgene. Then condensation of (XI) with piperazine (VIII) provided the title biscarbamate.

参考文献No.596235
标题:Dibasic inhibitors of human mast cell tryptase. Part 2: Structure-activity relationships and requirements for potent activity
作者:Rice, K.D.; Wang, V.R.; Gangloff, A.R.; Kuo, E.Y.-L.; Dener, J.M.; Newcomb, W.S.; Young, W.B.; Putnam, D.; Cregar, L.; Wong, M.; Simpson, P.J.
来源:Bioorg Med Chem Lett 2000,10(20),2361
合成路线图解说明:

4-Aminobenzylamine (I) was protected as the tert-butyl carbamate (II) upon treatment with Boc2O. Heating of (II) with cyanamide afforded guanidine (III). The Boc protecting group of (III) was then removed by means of trifluoroacetic acid to furnish 4-guanidinobenzylamine (IV). 4-Boc-piperazine-1-carbonyl chloride (VI) (obtained by treatment of N-Boc piperazine (V) with triphosgene) was condensed with amine (IV), yielding urea (VII). The N-Boc group of (VII) was then deprotected with trifluoroacetic acid to give (VIII) (1). Dianhydromannitol (X) was converted to bischloroformate (XI) by treatment with phosgene. Then condensation of (XI) with piperazine (VIII) provided the title biscarbamate.

Drug Information Express,Drug R&D,Chemical Database,Patent Search.
Copyright © 2006-2026 Drug Future. All rights reserved.Contact Us