【药物名称】RWJ-394718, T-1095
化学结构式(Chemical Structure):
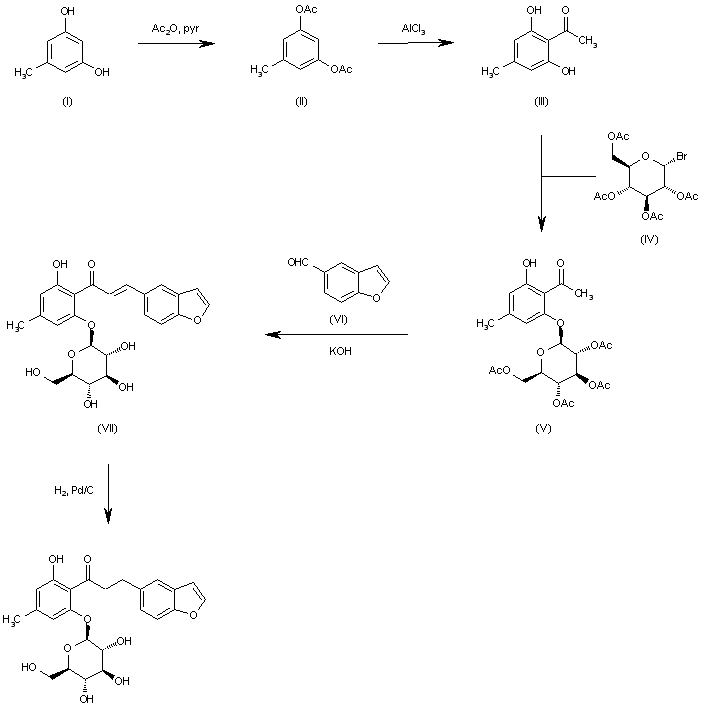
参考文献No.37249
标题:Propiophenone derivs. and process for preparing the same
作者:Hongu, M.; Matsumoto, M.; Oku, A.; Saito, K.; Tsujihara, K. (Tanabe Seiyaku Co., Ltd.)
来源:EP 0850948; JP 1998237089; US 6048842
合成路线图解说明:

Orcinol (I) was acetylated with Ac2O in pyridine to give diacetate (II), which was submitted to a Fries rearrangement in the presence of AlCl3 in chlorobenzene at 90 C to afford acetophenone (III). Subsequent condensation of (III) with 2,3,4,6-tetra-O-acetyl-alpha-D-glucopyranosyl bromide (IV) was effected either in the presence of CdCO3 in boiling toluene or K2CO3 and tributyl benzylammonium chloride in CH2Cl2 at r.t. The resulting (glucopyranosyloxy)acetophenone (V) was condensed with 5-formylbenzofuran (VI) in the presence of KOH to give chalcone (VII). Hydrogenation of (VII) over Pt/C then yielded the (benzofuranyl)propiophenone (VIII). After protection of the 6'-hydroxyl group of (VIII) as the allyl ether (X) with allyl bromide (IX) and K2CO3, the primary alcohol of (X) was acylated with ClCOOMe to furnish carbonate ester (XI). Finally, the O-allyl group of (XI) was cleaved with palladium catalyst and ammonium formate.

合成路线图解说明:

Orcinol (I) is acetylated with Ac2O in pyridine giving the diacetate (II), which is submitted to a Fries rearrangement with AlCl3 in hot chlorobenzene yielding acetophenone (III). Subsequent condensation of (III) with 2,3,4,6-tetra-O-acetyl-alpha-D-glucopyranosyl bromide (IV) by means of CdCO3 in refluxing toluene (or K2CO3 and tributylbenzylammonium chloride in dichloromethane) affords the glycosylated acetophenone (V), which is condensed with benzofuran-5-carbaldehyde (VI) by means of KOH in ethanol affording deacetylated chalcone (VII). Finally, this compound is hydrogenated with H2 over Pt/C in ethanol.

参考文献No.562276
标题:Na+-glucose contransporter (SGLT) inhibitors as antidiabetic agents. 4. Synthesis and pharmacological properties of 4'-dehydroxyphlorizin derivatives substituted on the B ring
作者:Tsujihara, K.; Hongu, M.; Saito, K.; Kawanishi, H.; Kuriyama, K.; Matsumoto, M.; Oku, A.; Ueta, K.; Tsuda, M.; Saito, A.
来源:J Med Chem 1999,42(26),5311
合成路线图解说明:

Orcinol (I) was acetylated with Ac2O in pyridine to give diacetate (II), which was submitted to a Fries rearrangement in the presence of AlCl3 in chlorobenzene at 90 C to afford acetophenone (III). Subsequent condensation of (III) with 2,3,4,6-tetra-O-acetyl-alpha-D-glucopyranosyl bromide (IV) was effected either in the presence of CdCO3 in boiling toluene or K2CO3 and tributyl benzylammonium chloride in CH2Cl2 at r.t. The resulting (glucopyranosyloxy)acetophenone (V) was condensed with 5-formylbenzofuran (VI) in the presence of KOH to give chalcone (VII). Hydrogenation of (VII) over Pt/C then yielded the (benzofuranyl)propiophenone (VIII). After protection of the 6'-hydroxyl group of (VIII) as the allyl ether (X) with allyl bromide (IX) and K2CO3, the primary alcohol of (X) was acylated with ClCOOMe to furnish carbonate ester (XI). Finally, the O-allyl group of (XI) was cleaved with palladium catalyst and ammonium formate.

合成路线图解说明:

Orcinol (I) is acetylated with Ac2O in pyridine giving the diacetate (II), which is submitted to a Fries rearrangement with AlCl3 in hot chlorobenzene yielding acetophenone (III). Subsequent condensation of (III) with 2,3,4,6-tetra-O-acetyl-alpha-D-glucopyranosyl bromide (IV) by means of CdCO3 in refluxing toluene (or K2CO3 and tributylbenzylammonium chloride in dichloromethane) affords the glycosylated acetophenone (V), which is condensed with benzofuran-5-carbaldehyde (VI) by means of KOH in ethanol affording deacetylated chalcone (VII). Finally, this compound is hydrogenated with H2 over Pt/C in ethanol.

参考文献No.630958
标题:T-1095
作者:Doggrell, S.A.; Casta馿r, J.
来源:Drugs Fut 2001,26(8),750
合成路线图解说明:

Orcinol (I) was acetylated with Ac2O in pyridine to give diacetate (II), which was submitted to a Fries rearrangement in the presence of AlCl3 in chlorobenzene at 90 C to afford acetophenone (III). Subsequent condensation of (III) with 2,3,4,6-tetra-O-acetyl-alpha-D-glucopyranosyl bromide (IV) was effected either in the presence of CdCO3 in boiling toluene or K2CO3 and tributyl benzylammonium chloride in CH2Cl2 at r.t. The resulting (glucopyranosyloxy)acetophenone (V) was condensed with 5-formylbenzofuran (VI) in the presence of KOH to give chalcone (VII). Hydrogenation of (VII) over Pt/C then yielded the (benzofuranyl)propiophenone (VIII). After protection of the 6'-hydroxyl group of (VIII) as the allyl ether (X) with allyl bromide (IX) and K2CO3, the primary alcohol of (X) was acylated with ClCOOMe to furnish carbonate ester (XI). Finally, the O-allyl group of (XI) was cleaved with palladium catalyst and ammonium formate.

Drug Information Express,Drug R&D,Chemical Database,Patent Search.
Copyright © 2006-2026 Drug Future. All rights reserved.Contact Us