【药物名称】Dalbavancin, V-Glycopeptide, VER-001, BI-397 factor B0, BI-397
化学结构式(Chemical Structure):
参考文献No.352924
标题:New semisynthetic glycopepetides MDL 63,246 and MDL 63,042, and other amide derivatives of antibiotic A-40,926 active against glycopeptide-resistant VanA enterococci
作者:Malabarba, A.; Ciabatti, R.; Scotti, R.; Goldstein, B.P.; Ferrari, P.; Kurz, M.; Andreini, B.P.; Denaro, M.
来源:J Antibiot 1995,48(8),869
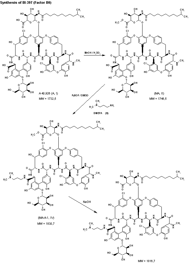
合成路线图解说明:

BI 397 is the 3-(dimethylamino)-1-propylamide at the peptide-carboxy group of the natural glycopeptide A-40,926. BI 397 is prepared from A-40,926 following a three-step procedure which consists of: 1) selective methyl esterification of the N-acylaminoglucuronic acid function, 2) amidation of the peptide-carboxy group and 3) saponification of the sugar methyl ester. Steps 2 and 3 are performed in one-pot. Step 1): Reaction of A-40,926 (A) (I) in methanol in the presence of H2SO4 at 0-5 C for 24 h gives the monomethyl ester (MA) (II) at the sugar-carboxy group (80% yield). Step 2): Amidation at the peptide-carboxy group is carried out by reaction of MA (II) with 3-(dimethylamino)-1-propylamine (DMEPA) (III) in DMSO in the presence of PyBOP to obtain the methyl ester (MA-A-1) (IV) of BI 397; this compound is not isolated. Step 3): Hydrolysis of MA-A-1 (IV) in the above DMSO solution with 15% NAOH gives BI 397 (A-A-1, 63% yield from MA).

参考文献No.545566
标题:BI 397
作者:Donadio, S.; Malabarba, A.
来源:Drugs Fut 1999,24(8),839
合成路线图解说明:

BI 397 is the 3-(dimethylamino)-1-propylamide at the peptide-carboxy group of the natural glycopeptide A-40,926. BI 397 is prepared from A-40,926 following a three-step procedure which consists of: 1) selective methyl esterification of the N-acylaminoglucuronic acid function, 2) amidation of the peptide-carboxy group and 3) saponification of the sugar methyl ester. Steps 2 and 3 are performed in one-pot. Step 1): Reaction of A-40,926 (A) (I) in methanol in the presence of H2SO4 at 0-5 C for 24 h gives the monomethyl ester (MA) (II) at the sugar-carboxy group (80% yield). Step 2): Amidation at the peptide-carboxy group is carried out by reaction of MA (II) with 3-(dimethylamino)-1-propylamine (DMEPA) (III) in DMSO in the presence of PyBOP to obtain the methyl ester (MA-A-1) (IV) of BI 397; this compound is not isolated. Step 3): Hydrolysis of MA-A-1 (IV) in the above DMSO solution with 15% NAOH gives BI 397 (A-A-1, 63% yield from MA).

Drug Information Express,Drug R&D,Chemical Database,Patent Search.
Copyright © 2006-2026 Drug Future. All rights reserved.Contact Us