【药物名称】Tridolgosir hydrochloride, Swainsonine hydrochloride, GD-0039
化学结构式(Chemical Structure):
参考文献No.257124
标题:New chiral route to (-)-swainsonine via an aqueous acylnitroso cycloaddition approach
作者:Naruse, M.; et al.
来源:J Org Chem 1994,59(6),1358
合成路线图解说明:

The reduction of (R)-malic acid (I) with BH3/Me2S and NaBH4 gives 1,2(R),4-butane-triol (II), which is treated with benzaldehyde dimethylacetal (III) and Ts-OH to yield the 1,3-dioxane (IV). The oxidation of the hydroxymethyl group of (IV) by means of oxalyl chloride in DMSO/dichloromethane affords the carbaldehyde (V), which is submitted to a Wittig condensation with allyltriphenylphosphonium bromide (VI) and potassium tert-butoxide to provide the butadienyl derivative (VII). The reductive cleavage of the benzylidene acetal (VII) by means of DIBAL, followed by Z/E photoisomerization of the resulting diene gives (E)-3(R)-(benzyloxy)-4,6-heptadien-1-ol (VIII). The reaction of the OH group of (VIII) with TsCl and pyridine yields the corresponding tosylate (IX), which is treated with NaCN in DMSO to afford (E)-4(R)-(benzyloxy)-5 ,7-octadienonitrile (X). The hydrolysis of the CN group of (X) with NaOH in methanol/water provides the carboxylic acid (XI), which is esterified with diazomethane to afford the methyl ester (XII). The reaction of (XII) with hydroxylamine and KOH in methanol provides the hydroxamic acid (XIII), which is oxidized with tetrapropylammonium periodate in water to generate an acylnitroso intermediate (XIV), which undergoes a (4+2) cycloaddition to give the trans-1,2-oxazinolactam (XV) along with some cis isomer that is separated by chromatography. The reductive cleavage of the N-O bond of (XV) by means of sodium amalgam yields the allyl alcohol (XVI), which is silylated with Tbdps-Cl and imidazole affording the silyl ether (XVII). The catalytic dihydroxylation of the double bond of (XVII) by means of OsO4 and NMO provides the diol (XVIII) along with some diastereoisomer that is separated by chromatography. The protection of the OH groups of (XVIII) by reaction of 2,2-dimethoxypropane (XIX) and PPTS gives the acetonide (XX). The reduction of the lactone group of (XX) with LiAlH4 in THF proceeds with simultaneous desilylation yielding the piperidino-alcohol (XXI), which is cyclized by means of CBr4, PPh3 and TEA to provide the indolizidine derivative (XXII). The hydrogenolytic removal of the benzyl group of (XXII) with H2 over PdCl2 gives the alcohol (XXIII), which is finally submitted to hydrolysis of its acetonide group by means of 6N HCl in THF to afford the target swainsonine.

参考文献No.270567
标题:Enantioselective synthesis of indolizidine alkaloids: Formal synthesis of (-)-swainsonine and of (+)-pumiliotoxin 251D
作者:Honda, T.; et al.
来源:J Chem Soc - Perkins Trans I 1994,(15),2091
合成路线图解说明:

The oxidation of 5-(trimethylsilyl)-4-pentyn-1-ol (I) with oxalyl chloride in dichloromethane gives the corresponding aldehyde (II),which is condensed with furan (III) by means of BuLi in THF, yielding 1-(2-furyl)-5-(trimethylsilyl)-4-pentyn-1-ol (IV). The optical resolution of (IV) by means of diisopropyl-L-tartrate affords the (R)-isomer (V), which is treated with NBS and sodium acetate in THF to provide the dihydropyranone derivative (VI). The reaction of (VI) with ethyl vinyl ether (VII) by means of PPTS gives the 1-ethoxyethyl ether as a diastereomeric mixture that is separated by column chromatography affording the desired isomer (VIII). The reduction of the carbonyl group of (VIII) by means of LAH in ethyl ether provides alcohol (IX) along with minor amounts of its diastereomer that is separated by column chromatography. The dihydroxylation of (IX) by means of OsO4 in ethyl ether proceeded diastereoselectively giving triol (X), which is treated with 2,2-dimethoxypropane (XI) and PPTS in acetone to yield the acetonide (XII). The reaction of (XII) with thiocarbonyl diimidazole (TCDI) in dichloroethane affords intermediate (XIII), which is submitted to a radical cyclization by means of Bu3SnH and AIBN in benzene to provide the exomethylene derivative (XIV). The oxidation of the vinylsilane (XIV) by means of NaIO4 and OsO4 in t-butanol/pyridine gives the ketone (XV), which is submitted to a Birch reduction with Na in liquid ammonia to yield alcohol (XVI) along with some of its diastereomer that is separated by chromatography. The reaction (XVI) with benzyl bromide and NaH in THF affords the benzyl ether (XVII), which is treated with HCl in THF to provide the lactol (XVIII). The reduction of (XVIII) with NaBH4 in methanol/dichloromethane gives the diol (XIX), which is selectively monosilylated with Tbdms-Cl, yielding the primary silyl ether (XX). The oxidation of the secondary OH group of (XX) by means of TPAP in dichloromethane affords the cyclopentanone (XXI), which is treated with hydroxylamine and pyridine in methanol to provide the corresponding oxime (XXII). The oxime (XXII) was subjected to a Beckmann rearrangement by means of SOCl2 to give the lactam (XXIII), which is finally desilylated by means of TBAF in THF to yield the primary alcohol (XXIV).

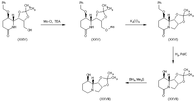
合成路线图解说明:

The reaction of (XXIV) with Ms-Cl and TEA in dichloromethane gives the mesylate (XXV), which is cyclized by means of K2CO3 in hot dioxane to yield the perhydroindolizinone (XXVI). The reductive debenzylation of (XXVI) with H2 over Pd/C in ethanol affords the hydroxy-perhydroindolizinone (XXVII), which is finally reduced with BH3/Me2S in THF to provide the target swainsonine acetonide (XXVIII) intermediate.

参考文献No.704281
标题:Improved synthesis of (2R,3S,4R)-3,4-dihydroxy-2-hydroxymethylpyrrolidine derivatives
作者:Ikota, N.; Hanaki, A.
来源:Chem Pharm Bull 1988,36(3),1143
合成路线图解说明:

The reduction of the Zinner's lactone (I) by means of LiAlH4 in THF gives the acetonide (II), which is selectively monoprotected by reaction with chloromethyl methyl ether to yield intermediate (III). The reaction of (III) with Ms-Cl in pyridine affords the dimesylate (IV), which is treated with NaN3 in hot DMF to provide the monoazido derivative (V). The reductocyclization of (V) by means of H2 over Pd/C in ethanol gives the chiral pyrrolidine derivative (VI), which is finally deprotected by treatment with HCl in hot methanol to yield the target (2R,3S,4R)-2-(hydroxymethyl)pyrrolidine-3,4-diol (VII) intermediate.

参考文献No.704282
标题:Efficient preparation of a valuable intermediate in the synthesis of (-)-swainsonine
作者:Bermejo Gonzalez, F.; et al.
来源:Bull Chem Soc Jpn 1992,65(2),567
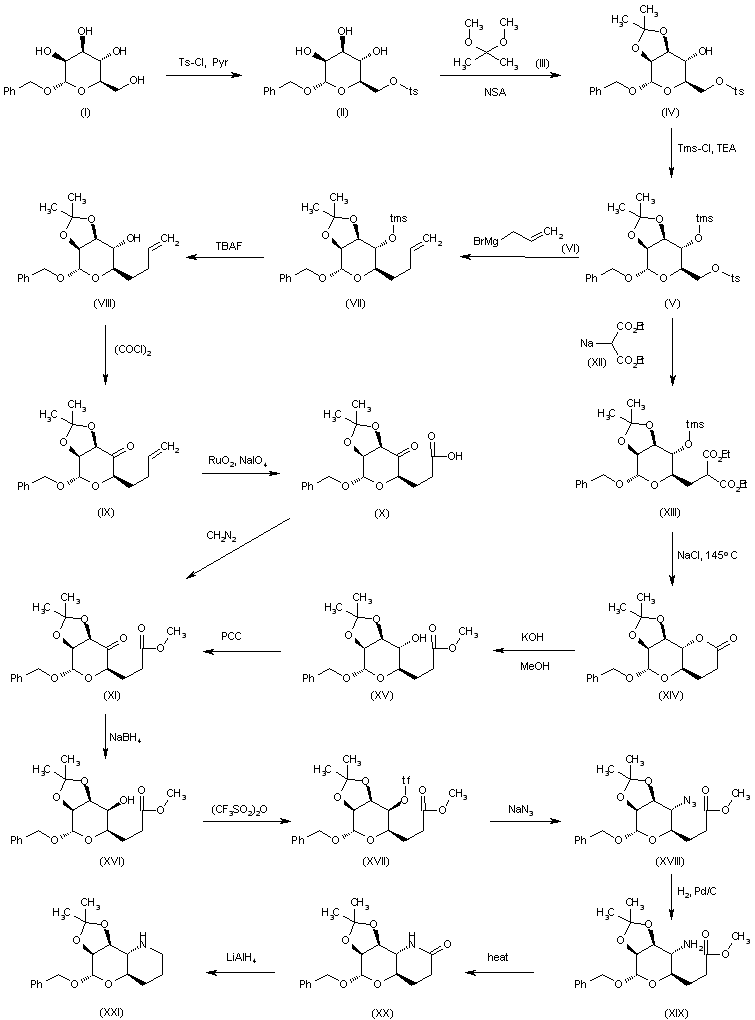
合成路线图解说明:

The reaction of benzyl-alpha-D-mannoside (I) with Ts-Cl in pyridine gives the 6-O-tosylate (II), which is treated with 2,2-dimethoxypropane (III), trimethyl orthoacetate and naphthalenesulfonic acid to yield the acetonide (IV). The silylation of the remaining OH group of (IV) with Tms-Cl and TEA in THF affords the silyl ether (V), which is condensed with allylmagnesium bromide (VI) in ethyl ether to provide the olefinic compound (VII). The desilylation of (VII) by means of TBAF in THF gives the secondary alcohol (VIII); which is oxidized by means of (COCl)2, DMSO and TEA in dichloromethane to yield the ketone derivative (IX). The oxidation of the terminal double bond of (IX) by means of RuO2 and NaIO4 in CCl4/acetonitrile affords the carboxylic acid (X), which is methylated with diazomethane to provide the corresponding methyl ester (XI). Alternatively the propionic ester (XI) can also be obtained by the following sequence: The condensation of the silyl ether (V) with the sodium salt of diethyl malonate (XII) in refluxing toluene gives the malonyl derivative (XIII), which is treated with NaCl at 145 C, yielding the lactone (XIV). The methanolysis of (XIV) with KOH in methanol affords the hydroxyester (XV), which is finally oxidized with PCC in dichloromethane to provide the target ketoester (XI), already reported. The reduction of the carbonyl group of (XI) by means of NaBH4 in ethanol gives the hydroxyester (XVI), which is treated with triflic anhydride and pyridine to yield the corresponding triflate (XVII). The reaction of (XVII) with sodium azide in DMF affords the azido derivative (XVIII), which is reduced with H2 over Pd/C to provide the expected amino derivative (XIX). The cyclization of (XIX) in refluxing toluene gives the lactam (XX), which is finally reduced to the target perhydro-pyrano[3,2-b]pyridine (XXI) intermediate.

参考文献No.704465
标题:Enantiospecific synthesis of swainsonine (1S,2R,8R,8aR)-1,2,8-trihydroxyoctahydroindolizine, from D-mannose
作者:Fleet, G.W.J.; et al.
来源:Tetrahedron Lett 1984,25(17),1853
合成路线图解说明:

The reaction of benzyl alpha-D-mannopyranoside (I) with Tbdms-Cl and imidazole gives the silyl ether (II), which is treated with 2,2-dimethoxypropane (III) and CSA in dichloromethane to yield the acetonide (IV). The oxidation of the free OH group of (IV) with PCC in dichloromethane affords the ketone (V), which is reduced with NaBH4 to provide benzyl 6-O-(tert-butyldimethylsilyl)-2,3-O-isopropylidene-alpha-D-talopyranoside (VI) with inverted configuration at C4. The reaction of (VI) with Tf2O and pyridine gives the triflate (VII), which is treated with NaN3 in DMF to yield the 4-azido derivative (VIII) with a new inversion of configuration at C4. The reaction of (VIII) with TBAF, followed by oxidation with PCC afforded the carbaldehyde (IX), which is condensed with the phosphorane (X) to provide the unsaturated azidoaldehyde (XI). The treatment of (XI) with H2 over Pd/C in methanol produces the reduction of the double bond, the reduction of the azide group to amine, and subsequent reductive cyclization of the resulting aminoaldehyde to give the perhydropyranopyridine derivative (XII). Further reductive debenzylation of (XII) with H2 over Pd/C in AcOH produces the formation of a lactol in equilibrium with the open chain aminoaldehyde (XIII), which undergoes a reductive amination to form the acetonide of swainsonine (XIV). Finally, this acetonide is decomposed by reaction with TFA to afford the target swainsonine.

参考文献No.704466
标题:Synthesis of the alpha-mannosidase inhibitors swainsonine [(1S,2R,8R,8aR)-1,2,8-trihydroxyoctahydroindolizine and 1,4-dideoxy-1,4-imino-D-mannitol from mannose
作者:Bashyal, B.P.; et al.
来源:Tetrahedron 1987,43(13),3083
合成路线图解说明:

The reaction of benzyl alpha-D-mannopyranoside (I) with Tbdms-Cl and imidazole gives the silyl ether (II), which is treated with 2,2-dimethoxypropane (III) and CSA in dichloromethane to yield the acetonide (IV). The oxidation of the free OH group of (IV) with PCC in dichloromethane affords the ketone (V), which is reduced with NaBH4 to provide benzyl 6-O-(tert-butyldimethylsilyl)-2,3-O-isopropylidene-alpha-D-talopyranoside (VI) with inverted configuration at C4. The reaction of (VI) with Tf2O and pyridine gives the triflate (VII), which is treated with NaN3 in DMF to yield the 4-azido derivative (VIII) with a new inversion of configuration at C4. The reaction of (VIII) with TBAF, followed by oxidation with PCC afforded the carbaldehyde (IX), which is condensed with the phosphorane (X) to provide the unsaturated azidoaldehyde (XI). The treatment of (XI) with H2 over Pd/C in methanol produces the reduction of the double bond, the reduction of the azide group to amine, and subsequent reductive cyclization of the resulting aminoaldehyde to give the perhydropyranopyridine derivative (XII). Further reductive debenzylation of (XII) with H2 over Pd/C in AcOH produces the formation of a lactol in equilibrium with the open chain aminoaldehyde (XIII), which undergoes a reductive amination to form the acetonide of swainsonine (XIV). Finally, this acetonide is decomposed by reaction with TFA to afford the target swainsonine.

参考文献No.704478
标题:Malic acid as a chiral synthon: Synthesis of 1,2 and 1,3 optically active diols
作者:Thiam, M.; et al.
来源:Synth Commun 1992,22(1),83
合成路线图解说明:

The reduction of (R)-malic acid (I) with BH3/Me2S and NaBH4 gives 1,2(R),4-butane-triol (II), which is treated with benzaldehyde dimethylacetal (III) and Ts-OH to yield the 1,3-dioxane (IV). The oxidation of the hydroxymethyl group of (IV) by means of oxalyl chloride in DMSO/dichloromethane affords the carbaldehyde (V), which is submitted to a Wittig condensation with allyltriphenylphosphonium bromide (VI) and potassium tert-butoxide to provide the butadienyl derivative (VII). The reductive cleavage of the benzylidene acetal (VII) by means of DIBAL, followed by Z/E photoisomerization of the resulting diene gives (E)-3(R)-(benzyloxy)-4,6-heptadien-1-ol (VIII). The reaction of the OH group of (VIII) with TsCl and pyridine yields the corresponding tosylate (IX), which is treated with NaCN in DMSO to afford (E)-4(R)-(benzyloxy)-5 ,7-octadienonitrile (X). The hydrolysis of the CN group of (X) with NaOH in methanol/water provides the carboxylic acid (XI), which is esterified with diazomethane to afford the methyl ester (XII). The reaction of (XII) with hydroxylamine and KOH in methanol provides the hydroxamic acid (XIII), which is oxidized with tetrapropylammonium periodate in water to generate an acylnitroso intermediate (XIV), which undergoes a (4+2) cycloaddition to give the trans-1,2-oxazinolactam (XV) along with some cis isomer that is separated by chromatography. The reductive cleavage of the N-O bond of (XV) by means of sodium amalgam yields the allyl alcohol (XVI), which is silylated with Tbdps-Cl and imidazole affording the silyl ether (XVII). The catalytic dihydroxylation of the double bond of (XVII) by means of OsO4 and NMO provides the diol (XVIII) along with some diastereoisomer that is separated by chromatography. The protection of the OH groups of (XVIII) by reaction of 2,2-dimethoxypropane (XIX) and PPTS gives the acetonide (XX). The reduction of the lactone group of (XX) with LiAlH4 in THF proceeds with simultaneous desilylation yielding the piperidino-alcohol (XXI), which is cyclized by means of CBr4, PPh3 and TEA to provide the indolizidine derivative (XXII). The hydrogenolytic removal of the benzyl group of (XXII) with H2 over PdCl2 gives the alcohol (XXIII), which is finally submitted to hydrolysis of its acetonide group by means of 6N HCl in THF to afford the target swainsonine.

Drug Information Express,Drug R&D,Chemical Database,Patent Search.
Copyright © 2006-2026 Drug Future. All rights reserved.Contact Us