【药物名称】LU-420627(sodium salt), BSF-420627(sodium salt), LU-302872
化学结构式(Chemical Structure):
参考文献No.546064
标题:Discovery and synthesis of (S)-3-[2-(3,4-dimethoxyphenyl)ethoxy]-2-(4,6-dimethylpyrimidin-2-yloxy)-3,3-diphenylpropionic acid (LU 302872), a novel orally active mixed ETA/ETB receptor antagonist
作者:Amberg, W.; Hergenr鰀er, S.; Hillen, H.; Jansen, R.; Kettschau, G.; Kling, A.; Klinge, D.; Raschack, M.; Riechers, H.; Unger, L.
来源:J Med Chem 1999,42(16),3026
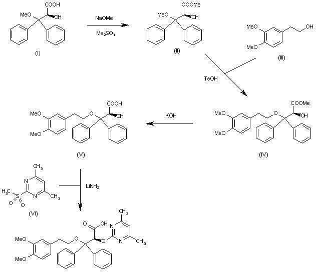
合成路线图解说明:

The esterification of 2(S)-hydroxy-3-methoxy-3,3-diphenylpropionic acid (I) with NaOMe and dimethyl sulfate gives the methyl ester (II), which is submitted to and acid (TsOH) catalyzed transetherification with 2-(3,4-dimethoxyphenyl)ethanol (III) to yield 3-[2-(3,4-dimethoxyphenyl)ethoxy-2(S)-hydroxy-3,3-diphenylpropionic acid methyl ester (IV). The hydrolysis of (IV) with KOH in methanol affords the corresponding free acid (V), which is finally condensed with 4,6-dimethyl-2-(methylsulfonyl)pyrimidine (VI) by means of lithium amide in DMF.

Drug Information Express,Drug R&D,Chemical Database,Patent Search.
Copyright © 2006-2026 Drug Future. All rights reserved.Contact Us