【药物名称】PPI-368
化学结构式(Chemical Structure):
参考文献No.37428
标题:Modulators of amyloid aggregation
作者:Reed, M.J.; Hundal, A.; Molineaux, S.; Chin, J.; Kelley, M.; Findeis, M.A.; Kasman, L.; Benjamin, H.; Kubasek, W.; Musso, G.; Signer, E.R.; Wakefield, J.; Lee, J.-J.; Garnick, M.B.; Gefter, M.L. (Praecis Pharmaceuticals Inc.)
来源:JP 1999514333; WO 9628471
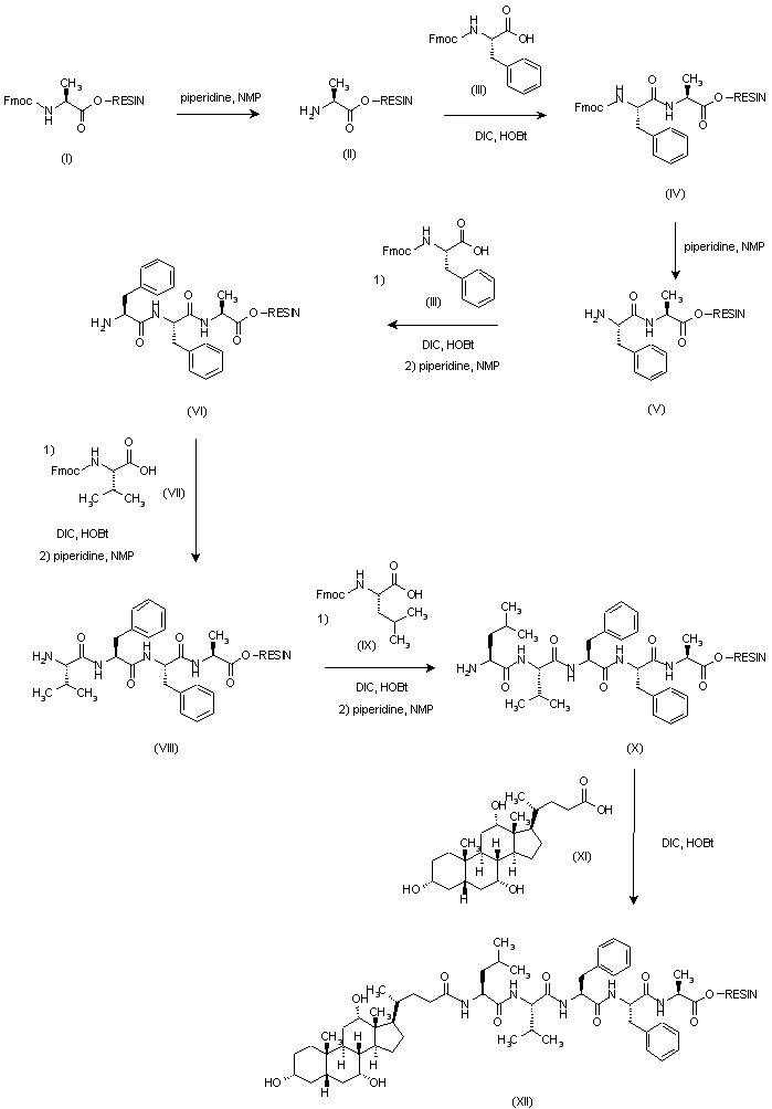
合成路线图解说明:

Title compound was synthesized by solid phase peptide synthesis on a Wang resin using N-9-fluorenylmethoxycarbonyl (Fmoc)-protected amino acids. The (Fmoc)alanine-resin (I) was treated with piperidine in N-methylpyrrolidone to yield deprotected alanine-resin (II). Then, condensation with (Fmoc)-phenylalanine (III) using diisopropyl cabodiimide (DIC) and 1-hydroxybenzotriazole (HOBt) as the coupling reagents provided the (Fmoc)-dipeptide resin (IV), which was deprotected as before with piperidine in NMP. The resulting deprotected dipeptide resin (V) was submitted to further sequential amino acid coupling and deprotection cycles with (Fmoc)-phenylalanine (III), (Fmoc)-valine (VII), and (Fmoc)-leucine (IX), to yield in turn resins (VI), (VIII), and (X), respectively. Resin (X) was then coupled with cholic acid (XI) in the presence of DIC and HOBt to give the corresponding amide (XII).

合成路线图解说明:

Finally, removal of the peptide from the resin was effected by treatment with a mixture of H2O, thioanisole, phenol, and ethanedithiol in trifluoroacetic acid.

Drug Information Express,Drug R&D,Chemical Database,Patent Search.
Copyright © 2006-2026 Drug Future. All rights reserved.Contact Us