【药物名称】RPR-132294
化学结构式(Chemical Structure):
参考文献No.21462
标题:Novel 1,2,4-Triaminobenzene derivs. and process for their preparation
作者:Dieter, H.-R.; Engel, J.; Kutscher, B.; Polymeropoulos, E.; Szelenyi, S.; Nickel, B. (Asta Medica AG)
来源:DE 4200259; EP 0554543; JP 1993345752; US 5384330
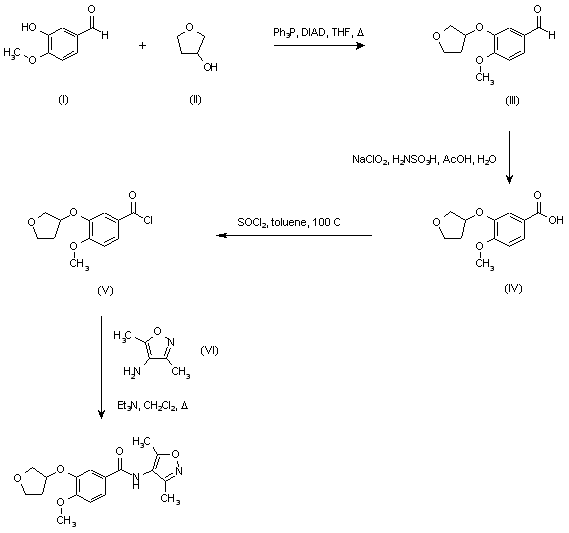
合成路线图解说明:

Coupling of isovanillin (I) with 3-hydroxytetrahyrofuran (II) in the presence of triphenyl phosphine and diisopropyl azodicarboxylate yielded the tetrahydrofuryl ether (III). Subsequent oxidation of the aldehyde using sodium chlorite and sulfamic acid gave carboxylic acid (IV), which was further converted to acid chloride (V) upon treatment with SOCl2 in toluene. Finally, condensation of (V) with 4-amino-3,5-dimethylisoxazole (VI) provided the title compound.

参考文献No.27694
标题:Substd. aromatic cpds. as cAMP phosphodiesterase- and TNF-inhibitors
作者:Fenton, G.; Palfreyman, M.N.; Thurairatnam, S. (Aventis Pharma SA)
来源:EP 0741707; JP 1997509654; WO 9520578
合成路线图解说明:

Coupling of isovanillin (I) with 3-hydroxytetrahyrofuran (II) in the presence of triphenyl phosphine and diisopropyl azodicarboxylate yielded the tetrahydrofuryl ether (III). Subsequent oxidation of the aldehyde using sodium chlorite and sulfamic acid gave carboxylic acid (IV), which was further converted to acid chloride (V) upon treatment with SOCl2 in toluene. Finally, condensation of (V) with 4-amino-3,5-dimethylisoxazole (VI) provided the title compound.

参考文献No.323888
标题:D-23129
作者:Tober, C.; Rundfeldt, C.; Rostock, A.; Bartsch, R.; Nickel, B.; Szeleny, I.; Herbst, M.; Dieter, R.; Olbrich, A.; Kutscher, B.; Sauer, W.; Jainta, H.; Jahn, W.; Engel, J.
来源:Drugs Fut 1995,20(11),1112
合成路线图解说明:

Coupling of isovanillin (I) with 3-hydroxytetrahyrofuran (II) in the presence of triphenyl phosphine and diisopropyl azodicarboxylate yielded the tetrahydrofuryl ether (III). Subsequent oxidation of the aldehyde using sodium chlorite and sulfamic acid gave carboxylic acid (IV), which was further converted to acid chloride (V) upon treatment with SOCl2 in toluene. Finally, condensation of (V) with 4-amino-3,5-dimethylisoxazole (VI) provided the title compound.

Drug Information Express,Drug R&D,Chemical Database,Patent Search.
Copyright © 2006-2026 Drug Future. All rights reserved.Contact Us