【药物名称】PNU-173954
化学结构式(Chemical Structure):
参考文献No.35966
标题:Isoxazoline derivs. useful as antimicrobials
作者:Barbachyn, M.R.; Thomas, R.C.; Cleek, G.J. (Pharmacia & Upjohn AB)
来源:EP 0920421; US 5990136; WO 9807708
合成路线图解说明:

The asymmetric 1,3-dipolar cycloaddition of the nitrile oxide resulting from 4-bromo-N-hydroxybenzenecarboximidoyl chloride (I) to allyl alcohol (II) in the presence of (R,R)-diisopropyl tartrate and diethylzinc afforded the (R)-5-(hydroxymethyl)isoxazoline (III). After conversion of (III) to the mesylate (IV), treatment with ammonium hydroxide in a sealed vessel provided primary amine (V), which was then acetylated with Ac2O and pyridine to give amide (VI). Further treatment of (VI) with hexamethylditin and dichlorobis(triphenylphosphine) palladium yielded the trimethylstannyl derivative (VII). Reaction of N-Boc-4-piperidone (VIII) with lithium diisopropylamide and N-phenyl-trifluoromethanesulfonimide at low temperature furnished the corresponding vinyl triflate (IX). Subsequent coupling of (IX) with stannyl derivative (VII) in the presence of tris(dibenzylideneacetone)dipalladium and triphenylarsine gave rise to the N-Boc-tetrahydropyridylphenylisoxazole (X). The Boc group of (X) was then deprotected using trifluoroacetic acid, and the deprotected tetrahydropyridine (XI) was condensed with acetoxyacetyl chloride (XII), yielding the acetoxyacetamide (XIII). The acetate ester of (XIII) was finally hydrolyzed by means of K2CO3 in MeOH.

合成路线图解说明:

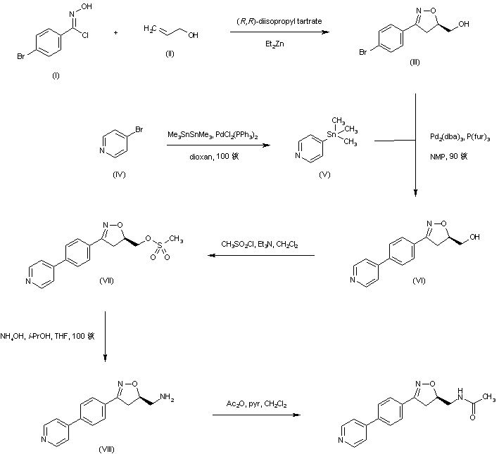
The asymmetric 1,3-dipolar cycloaddition of the nitrile oxide resulting from 4-bromo-N-hydroxybenzenecarboximidoyl chloride (I) to allyl alcohol (II) in the presence of (R,R)-diisopropyl tartrate and diethylzinc afforded the (R)-5-(hydroxymethyl)isoxazoline (III). Treatment of 4-bromopyridine (IV) with hexamethylditin and dichlorobis(triphenylphosphine)palladium yielded 4-trimethylstannylpyridine (V). Subsequent coupling of bromophenylisoxazoline (III) with stannylpyridine (V) in the presence of tris(dibenzylideneacetone)-dipalladium and tri(2-furyl)phosphine gave rise to the pyridylphenylisoxazole (VI). After conversion of (VI) to the mesylate (VII), treatment with ammonium hydroxide in a sealed vessel provided primary amine (VIII). Finally, acetylation of (VIII) with Ac2O and pyridine furnished the title amide.

参考文献No.569003
标题:Enantioselective synthesis of 2-isoxazolines via asymmetric 1,3-dipolar cycloaddition of nitrile oxides to achiral allyl alcohols
作者:Ukaji, Y.; et al.
来源:Chem Lett 1993,(11),1847
合成路线图解说明:

The asymmetric 1,3-dipolar cycloaddition of the nitrile oxide resulting from 4-bromo-N-hydroxybenzenecarboximidoyl chloride (I) to allyl alcohol (II) in the presence of (R,R)-diisopropyl tartrate and diethylzinc afforded the (R)-5-(hydroxymethyl)isoxazoline (III). After conversion of (III) to the mesylate (IV), treatment with ammonium hydroxide in a sealed vessel provided primary amine (V), which was then acetylated with Ac2O and pyridine to give amide (VI). Further treatment of (VI) with hexamethylditin and dichlorobis(triphenylphosphine) palladium yielded the trimethylstannyl derivative (VII). Reaction of N-Boc-4-piperidone (VIII) with lithium diisopropylamide and N-phenyl-trifluoromethanesulfonimide at low temperature furnished the corresponding vinyl triflate (IX). Subsequent coupling of (IX) with stannyl derivative (VII) in the presence of tris(dibenzylideneacetone)dipalladium and triphenylarsine gave rise to the N-Boc-tetrahydropyridylphenylisoxazole (X). The Boc group of (X) was then deprotected using trifluoroacetic acid, and the deprotected tetrahydropyridine (XI) was condensed with acetoxyacetyl chloride (XII), yielding the acetoxyacetamide (XIII). The acetate ester of (XIII) was finally hydrolyzed by means of K2CO3 in MeOH.

合成路线图解说明:

The asymmetric 1,3-dipolar cycloaddition of the nitrile oxide resulting from 4-bromo-N-hydroxybenzenecarboximidoyl chloride (I) to allyl alcohol (II) in the presence of (R,R)-diisopropyl tartrate and diethylzinc afforded the (R)-5-(hydroxymethyl)isoxazoline (III). Treatment of 4-bromopyridine (IV) with hexamethylditin and dichlorobis(triphenylphosphine)palladium yielded 4-trimethylstannylpyridine (V). Subsequent coupling of bromophenylisoxazoline (III) with stannylpyridine (V) in the presence of tris(dibenzylideneacetone)-dipalladium and tri(2-furyl)phosphine gave rise to the pyridylphenylisoxazole (VI). After conversion of (VI) to the mesylate (VII), treatment with ammonium hydroxide in a sealed vessel provided primary amine (VIII). Finally, acetylation of (VIII) with Ac2O and pyridine furnished the title amide.

Drug Information Express,Drug R&D,Chemical Database,Patent Search.
Copyright © 2006-2026 Drug Future. All rights reserved.Contact Us