【药物名称】
化学结构式(Chemical Structure):
参考文献No.40046
标题:Cpds. having antidiabetic, hypolipidemic, antihypertensive properties, process for their preparation and pharmaceutical compsns. containing them
作者:Casturi, S.R.; Lohray, V.B.; Kallam, A.R.; Pingali, H.; Ramanujam, R.; Alla, S.R. (Dr. Reddy's Research Foundation)
来源:US 5925656
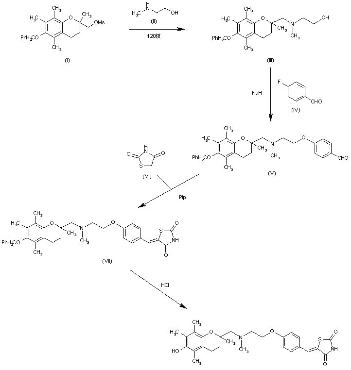
合成路线图解说明:

A new synthesis of the title compound, very similar to that already published, is reported: The condensation of 6-(benzyloxy)-2,5,7,8-tetramethyl-3,4-dihydro-2H-1-benzopyran-2-ylmethyl methanesulfonate (I) with 2-(methylamino)ethanol (II) by heating at 120 C gives the tertiary amine (III), which is condensed with 4-fluorobenzaldehyde (IV) by means of NaH in DMF yielding the 4-alkoxy benzaldehyde (V). A new condensation of (V) with thiazolidine-2,4-dione (VI) by means of piperidine in refluxing toluene affords the benzyloxy derivative of the target compound (VII). Finally, the target compound is obtained by treatment of (VII) with HCl in acetic acid.

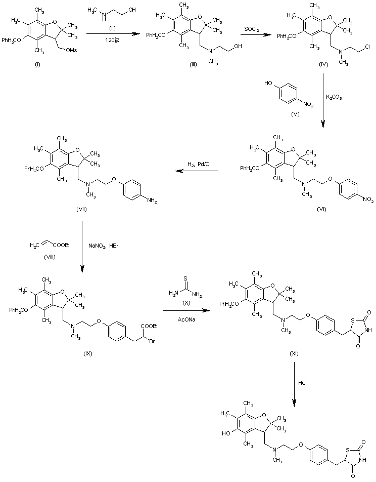
合成路线图解说明:

The condensation of 5-(benzyloxy)-2,2,4,6,7-pentamethyl-3,4-dihydrobenzofuran-3-ylmethyl methanesulfonate (I) with 2-(methylamino)ethanol (II) by heating at 120 C gives the tertiary amine (III), which is treated with SOCl2 in benzene yielding the chloroethylamino compound (IV). The condensation of (IV) with 4-nitrophenol (V) by means of K2CO3 in hot DMF affords the 4-nitrophenoxy compound (VI), which is reduced with H2 over Pd/C in ethyl acetate to the corresponding 4-aminophenoxy compound (VII). The condensation of (VII) with ethyl acrylate (VIII) by means of NaNO2 and HBr in methanol/water gives the 2-bromopropionic ester (IX), which is cyclized with thiourea (X) by means of NaOAc in refluxing ethanol yielding the thiazolidinedione (XI). Finally, this compound is debenzylated with HCl in hot acetic acid.

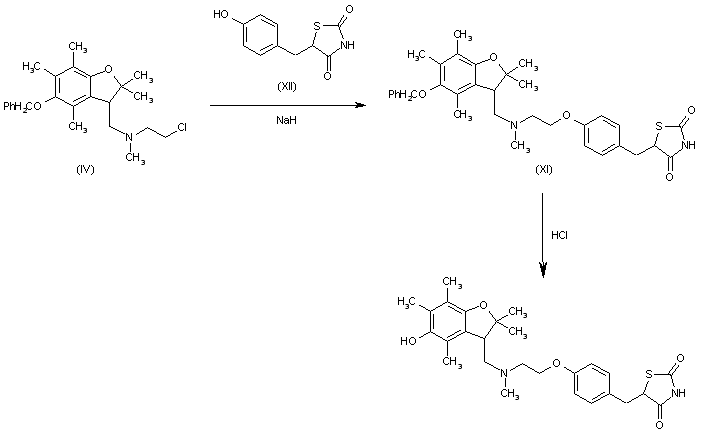
合成路线图解说明:

The condensation of the chloromethylamino intermediate (IV) with 5-(4-hydroxybenzyl)thiazolidine-2,4-dione (XII) by means of NaH in in hot DMF gives the previously reported intermediate (XI), which is finally deprotected with HCl in acetic acid as before.

参考文献No.460710
标题:Novel euglycemic and hypolipidemic agents: Part-2. Antioxidant moiety as structural motif
作者:Reddy, K.A.; Lohray, B.B.; Bhushan, V.; Reddy, A.S.; Kishore, P.H.; Rao, VV.; Saibaba, V.; Bajji, A.C.; Rajesh, B.M.; Reddy, K.V.; Chakrabarti, R.; Rajagopalan, R.
来源:Bioorg Med Chem Lett 1998,8(9),999-1002
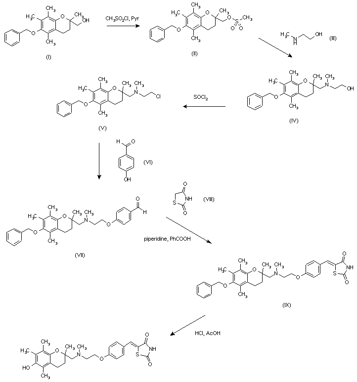
合成路线图解说明:

Treatment of chromane (I) with metanesulfonyl chloride in pyridine at 0 C afforded mesylate (II), which was treated with 2-methylaminoethanol (III) to afford tertiary amine (IV). Reaction with SOCl2 gave chloride (V), and further reaction with p-hydroxybenzaldehyde (VI) provided (VII). Aldehyde (VII) was then condensed with 2,4-thiazolidinedione (VIII) in the presence of piperidine benzoate in toluene to furnish (IX). Finally, the benzyl protecting group was removed by treatment with acetic acid-hydrochloric acid at 60 C to give the title compound.

Drug Information Express,Drug R&D,Chemical Database,Patent Search.
Copyright © 2006-2026 Drug Future. All rights reserved.Contact Us