【药物名称】GYKI-16638
化学结构式(Chemical Structure):
参考文献No.39644
标题:Novel antiarrhythmic cpds.
作者:Berzsenyi, P.; Druga, A.; P醫falusi, M.; Varga, I.; Rettegi, T.; Barlocco, D.; Moravcsik, I.; M醫yus, P.; Papp, G.; Varr? A.; Cignarella, G.; Simay, A. (Albert Szent-Gy鰎gyi Medical University ; Gyogyszerkutato Intezet Kft.)
来源:WO 9929655
合成路线图解说明:

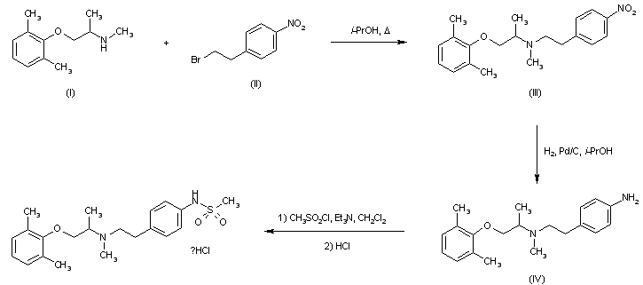
Amine (I) was alkylated with 4-nitrophenethyl bromide (II) in refluxing isopropanol to yield the tertiary amine (III). Hydrogenation of the nitro group of (III) employing Pd/C afforded aniline (IV). Subsequent condensation of (IV) with methanesulfonyl chloride in the presence of Et3N produced the corresponding sulfonamide. The title compound was finally isolated as the hydrochloride salt.

Drug Information Express,Drug R&D,Chemical Database,Patent Search.
Copyright © 2006-2026 Drug Future. All rights reserved.Contact Us