【药物名称】(R)-Fluoxetine
化学结构式(Chemical Structure):
参考文献No.41603
标题:Fluoxetine process from benzoylpropionic acid
作者:Senanayake, C.H.; Hilborn, J.W.; Jurgens, A.R. (Sepracor Inc.)
来源:WO 9967196
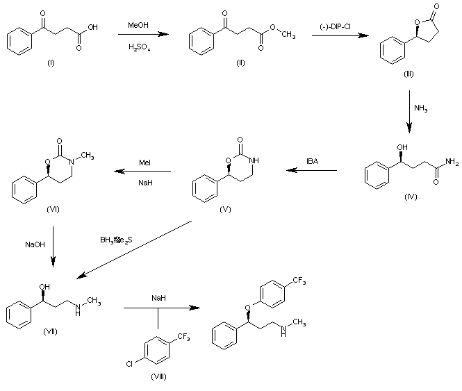
合成路线图解说明:

The esterification of 3-benzoylpropionic acid (I) with methanol and sulfuric acid gives the corresponding methyl ester (II), which is regioselectively reduced with (-)-B-chlorodiisopinocampheylborane [(-)-DIP-Cl] in THF, yielding the chiral lactone (III). Ring opening of (III) with ammonia in methanol affords the chiral butyramide (IV), which is treated with iodobenzene diacetate (IBA) in acetonitrile to provide the cyclic carbamate (V). The methylation of (V) with NaH and methyl iodide in DMF gives the expected N-methyl derivative (VI), which is hydrolyzed with NaOH in refluxing ethanol to yield the chiral 3-(methylamino)-1(S)-phenyl-1-propanol (VII). Finally, this compound is condensed with 4-(trifluoromethyl)chlorobenzene (VIII) by means of NaH in DMSO. The intermediate propanol (VII) can also be obtained directly from (V), by reductive cleavage of the carbamate ring with borane/dimethyl sulfide complex in THF.

参考文献No.306250
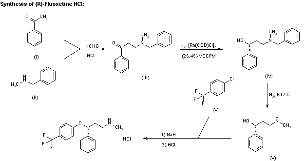
标题:Efficient asymmetric hydrogenation of beta- and gamma-amino ketone derivatives leading to practical synthesis of fluoxetine and eprozinol
作者:Sakuraba, S.; Achiwa, K.
来源:Chem Pharm Bull 1995,43(5),748
合成路线图解说明:

The synthesis of (R)-fluoxetine hydrochloride has been described: The condensation of acetophenone (I) with N-benzyl-N-methylamine (II) and formaldehyde by means of concentrated HCl in refluxing methanol gives 3-(N-benzyl-N-methylamino)propiophenone (III), which is asymmetrically reduced with H2 at 30 Atm. over [Rh(1,5-cyclooctadiene)Cl] and the chiral phosphine (2S,4S)-1-(N-methylcarbamoyl)-4-(dicyclohexylphosphino)-2-(diphenylphos phinomethyl)pyrrolidine in methanol yielding (R)-3-(N-benzyl-N-methylamino)-1-phenyl-1-propanol (IV). The debenzylation of (IV) with H2 over Pd/C in ethanol affords (R)-3-(methylamino)-1-phenyl-1-propanol (V), which is finally condensed with 1-chloro-4-(trifluoromethyl)benzene (VI) by means of NaH in dimethylacetamide.

参考文献No.583046
标题:Chemoenzymatic synthesis of the non-tricyclic antidepressants fluoxetine, tomoxetine and nisoxetine
作者:Anthonsen, T.; Ho, B.H.; Liu, H.L.
来源:J Chem Soc - Perkins Trans I 2000,11(11),1767
合成路线图解说明:

A new synthesis of tomoxetine has been described: The reduction of omega-chloropropiophenone (I) with NaBH4 in ethanol gives 3-chloro-1-phenyl-1-propanol (II), which is treated with butyric anhydride and pyridine in dichloromethane to yield the corresponding racemic ester (III). The optical resolution of (III) with immobilized lipase B from Candida antarctica (CALB) affords a mixture of unreacted (S)-ester and (R)-alcohol (IV) that are separated by column chromatography. Condensation of th (R)-alcohol (IV) with 2-methylphenol (V) by means of PPh3 and diethyl azodicarboxylate (DEAD) in THF gives the corresponding ether (VI), which is finally treated with methylamine in refluxing ethanol.

合成路线图解说明:

The reduction of omega-chloropropiophenone (I) with NaBH4 in ethanol gives 3-chloro-1-phenyl-1-propanol (II), which is treated with butyric anhydride and pyridine in dichloromethane, yielding the corresponding racemic ester (III). The optical resolution of (III) with immobilized lipase B from Candida antarctica (CALB) affords a mixture of unreacted (S)-ester and (R)-alcohol (IV), which are separated by column chromatography. The condensation of alcohol (IV) with 4-(trifluoromethyl)phenol (V) by means of PPh3 and diethyl azodicarboxylate (DEAD) in THF gives the corresponding ether (VI), which is finally treated with methylamine in refluxing ethanol.

合成路线图解说明:

The reduction of omega-chloropropiophenone (I) with NaBH4 in ethanol gives 3-chloro-1-phenyl-1-propanol (II), which is treated with butyric anhydride and pyridine in dichloromethane yielding the corresponding racemic ester (III). The optical resolution of (III) with immobilized lipase B from Candida antarctica (CALB) affords a mixture of unreacted (S)-ester and (R)-alcohol (IV) that are separated by column chromatography. The condensation of alcohol (IV) with 2-methoxyphenol (V) by means of PPh3 and diethyl azodicarboxylate (DEAD) in THF gives the corresponding ether (VI), which is finally treated with methylamine in refluxing ethanol.

参考文献No.648858
标题:Enantioselective synthesis of (S)- and (R)-fluoxetine hydrochloride
作者:Miles, W.H.; et al.
来源:Tetrahedron 2001,57(50),9925
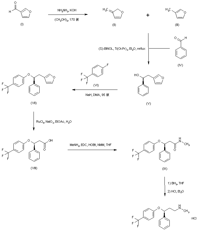
合成路线图解说明:

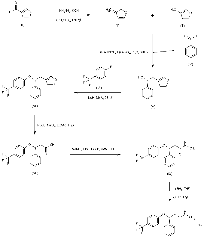
A new enantioselective synthesis of (S)-fluoxetine has been reported: Reduction of 3-furaldehyde (I) under Wolff-Kishner conditions provided the desired 3-methylene-2,3-dihydrofuran (II) along with minor amounts of 3-methylfuran (III), which were used in the next step without previous separation. The asymmetric carbonyl-ene reaction of (II) with benzaldehyde (IV) using (S)-1,1'-binaphthol and titanium isopropoxide furnished the target (S)-2-(3-furyl)-1-phenylethanol (V). Condensation of the sodium alkoxide of (V) with 4-fluorobenzotrifluoride (VI) gave rise to ether (VII). Carboxylic acid (VIII) was then obtained by oxidative cleavage of the furan derivative (VII) with RuCl3/NaIO4. Coupling of acid (VIII) with methylamine gave amide (IX). Finally, amide reduction employing borane in THF yielded the title compound.

合成路线图解说明:

Reduction of 3-furaldehyde (I) under Wolff-Kishner conditions provided the desired 3-methylene-2,3-dihydrofuran (II) along with minor amounts of 3-methylfuran (III), which were used in the next step without previous separation. The asymmetric carbonyl-ene reaction of (II) with benzaldehyde (IV) using (R)-1,1'-binaphthol and titanium isopropoxide furnished the target (R)-2-(3-furyl)-1-phenylethanol (V). Condensation of the sodium alkoxide of (V) with 4-fluorobenzotrifluoride (VI) gave rise to ether (VII). Carboxylic acid (VIII) was then obtained by oxidative cleavage of the furan derivative (VII) with RuCl3/NaIO4. Coupling of acid (VIII) with methylamine gave amide (IX). Finally, amide reduction employing borane in THF yielded the title compound.

参考文献No.648861
标题:A practical asymmetric synthesis of (R)-fluoxetine and its major metabolite (R)-norfluoxetine
作者:Hilborn, J.W.; et al.
来源:Tetrahedron Lett 2001,42(51),8919
合成路线图解说明:

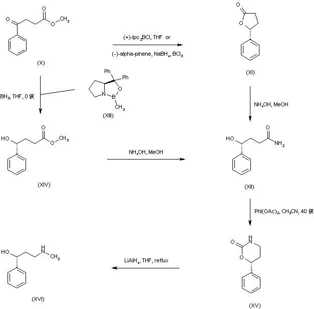
The chiral precursor (R)-3-(methylamino)-1-phenyl-1-propanol (XVI) has been prepared by an alternative method. Asymmetric reduction of methyl 3-benzoylpropionate (X) to produce the (R)-lactone (XI) was performed either employing commercial (+)-B-chlorodiisopinocampheylborane or generating in situ this reagent from alpha-pinene, NaBH4 and BCl3. Ammonolysis of lactone (XI) in MeOH afforded hydroxy amide (XII). This chiral intermediate (XII) was alternatively obtained by reduction of keto ester (X) with borane in the presence of the oxaazaborolidine chiral auxiliary (XIII) to produce the (R)-hydroxy ester (XIV), which was subsequently treated with ammonium hydroxyde in MeOH. Hofmann rearrangement of amide (XII) using iodobenzene diacetate led to the cyclic carbamate (XV). The key amino alcohol precursor (XVI) was then obtained by reduction of carbamate (XV) with LiAlH4.

参考文献No.684590
标题:An asymmetric dihydroxylation route to enantiomerically pure norfluoxetine and fluoxetine
作者:Pandey, R.K.; et al.
来源:Tetrahedron Lett 2002,43(25),4425
合成路线图解说明:

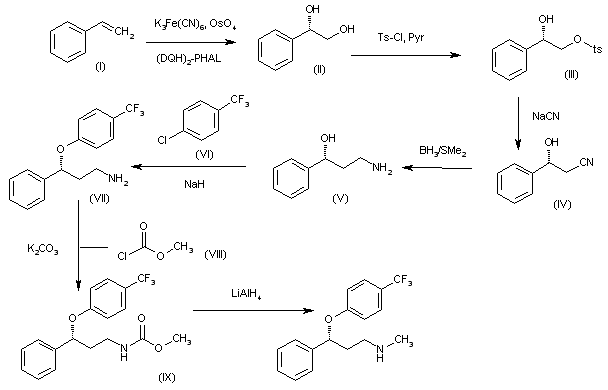
The asymmetric dihydroxylation of styrene (I) by means of K3Fe(CN)6 and OsO4, catalyzed by 1,4-bis(dihydroquinin-9-O-yl)phthalazine ((DHQ)2PHAL)in tert-butanol/water gives the 1(R)-phenylethane-1,2-diol (II), which is treated with Ts-Cl and pyridine in dichloromethane to yield the monotosylate (III). The reaction of (III) with NaCN in Et-OH/water affords 3(R)-hydroxy-3-phenylpropionitrile (IV), which is reduced by means of BH3/Me2S in refluxing THF to provide the corresponding amine (V). The O-alkylation of (V) with 4-(trifluoromethyl)chlorobenzene (VI) by means of NaH in hot DMSO gives 3(R)-phenyl-3-[4(trifluoromethyl)phenoxy]propylamine (VII), which is treated with methyl chloroformate (VIII) and K2CO3 in dichloromethane to yield the carbamate (IX) Finally, this compound is reduced by means of LiAlH4 in THF to provide the target (R)-fluoxetine.

Drug Information Express,Drug R&D,Chemical Database,Patent Search.
Copyright © 2006-2026 Drug Future. All rights reserved.Contact Us