【药物名称】Micafungin sodium, FK-463, Mycamine, Funguard
化学结构式(Chemical Structure):
参考文献No.29714
标题:Cyclic hexapeptides having antibiotic activity
作者:Ohki, H.; Tomishima, M.; Yamada, A.; Takasugi, H. (Fujisawa Pharmaceutical Co., Ltd.)
来源:EP 0788511; JP 1998324695; JP 1998507174; US 6107458; WO 9611210
合成路线图解说明:

The synthesis of FK-463 can be performed as follows: The enzymatic deacylation of FR-901379 with Streptomyces anulatas No. 4811, S. anulatas No. 8703, Streptomyces strain No. 6907 or A. utahensis IFO13244 gives the deacylated lipopeptide FR-179642 (1), which is then reacylated with 1-[4-[5-(4-pentyloxyphenyl)isoxazol-3-yl]benzoyl]benzotriazole 3-oxide (VI) by means of dimethylaminopyridine (DMAP) in DMF. The acylating compound (VI) can be obtained as follows: The cyclization of 4-pentyloxyphenylacetylene (I) with 4-(hydroxyiminomethyl)benzoic acid methyl ester (II) by means of triethylamine in hot THF gives 4-[5-(4-pentyloxyphenyl)isoxazol-3-yl]benzoic acid methyl ester (III), which is hydrolyzed with NaOH in hot THF/water yielding the corresponding free acid (IV). Finally, this compound is condensed with 1-hydroxybenzotriazole (V) by means of 1-ethyl-3-[3-(dimethylamino)propyl]carbodiimide (EDMCA) in dichloromethane.

参考文献No.479487
标题:FK-463
作者:Fromtling, R.A.; Casta馿r, J.
来源:Drugs Fut 1998,23(12),1273
合成路线图解说明:

The synthesis of FK-463 can be performed as follows: The enzymatic deacylation of FR-901379 with Streptomyces anulatas No. 4811, S. anulatas No. 8703, Streptomyces strain No. 6907 or A. utahensis IFO13244 gives the deacylated lipopeptide FR-179642 (1), which is then reacylated with 1-[4-[5-(4-pentyloxyphenyl)isoxazol-3-yl]benzoyl]benzotriazole 3-oxide (VI) by means of dimethylaminopyridine (DMAP) in DMF. The acylating compound (VI) can be obtained as follows: The cyclization of 4-pentyloxyphenylacetylene (I) with 4-(hydroxyiminomethyl)benzoic acid methyl ester (II) by means of triethylamine in hot THF gives 4-[5-(4-pentyloxyphenyl)isoxazol-3-yl]benzoic acid methyl ester (III), which is hydrolyzed with NaOH in hot THF/water yielding the corresponding free acid (IV). Finally, this compound is condensed with 1-hydroxybenzotriazole (V) by means of 1-ethyl-3-[3-(dimethylamino)propyl]carbodiimide (EDMCA) in dichloromethane.

参考文献No.479488
标题:Studies on a novel lipopeptide acylase from Streptomyces spp. for production of FR179642, a key intermediate of antifungal lipopeptide drug FK463
作者:Ueda, S.; Ezaki, M.; Tanaka, M.; et al.
来源:38th Intersci Conf Antimicrob Agents Chemother (Sept 24 1998, San Diego) 1998,Abst F-145
合成路线图解说明:

The synthesis of FK-463 can be performed as follows: The enzymatic deacylation of FR-901379 with Streptomyces anulatas No. 4811, S. anulatas No. 8703, Streptomyces strain No. 6907 or A. utahensis IFO13244 gives the deacylated lipopeptide FR-179642 (1), which is then reacylated with 1-[4-[5-(4-pentyloxyphenyl)isoxazol-3-yl]benzoyl]benzotriazole 3-oxide (VI) by means of dimethylaminopyridine (DMAP) in DMF. The acylating compound (VI) can be obtained as follows: The cyclization of 4-pentyloxyphenylacetylene (I) with 4-(hydroxyiminomethyl)benzoic acid methyl ester (II) by means of triethylamine in hot THF gives 4-[5-(4-pentyloxyphenyl)isoxazol-3-yl]benzoic acid methyl ester (III), which is hydrolyzed with NaOH in hot THF/water yielding the corresponding free acid (IV). Finally, this compound is condensed with 1-hydroxybenzotriazole (V) by means of 1-ethyl-3-[3-(dimethylamino)propyl]carbodiimide (EDMCA) in dichloromethane.

参考文献No.549655
标题:FK463, a novel water-soluble echinocandin lipopeptide: Synthesis and antifungal activity
作者:Tomishima, M.; Ohki, H.; Yamada, A.; Takasugi, H.; Maki, K.; Tawara, S.; Tanaka, H.
来源:J Antibiot 1999,52(7),674
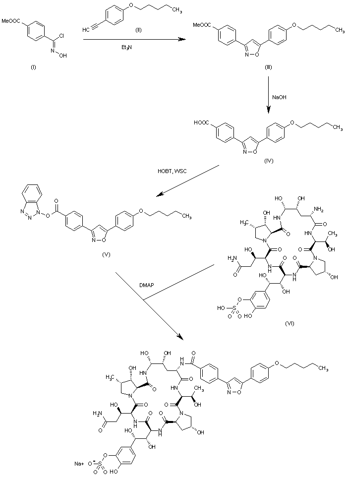
合成路线图解说明:

The cyclization of the benzoic ester (I) with phenylacetylene (II) by means of triethylamine in THF gives the diphenyl isoxazole (III), which is hydrolyzed with NaOH in ethanol/THF yielding 4-[5-(4-pentyloxyphenyl)isoxazol-3-yl]benzoic acid (IV). The activation of (IV) with HOBT and WSC in dichloromethane affords the benzotriazol-1-yl ester (V), which is finally condensed with the cyclic peptide (VI) by means of DMAP in DMF.

Drug Information Express,Drug R&D,Chemical Database,Patent Search.
Copyright © 2006-2026 Drug Future. All rights reserved.Contact Us