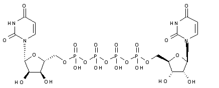
【药物名称】Diquafosol tetrasodium, DE-089, U2P4, Up4U, KPY-998, INS-365
化学结构式(Chemical Structure):
参考文献No.44981
标题:Method for large-scale production of di(uridine 5'-tetraphosphate) and salts thereof
作者:Yerxa, B.J.; Pendergast, W. (Inspire Pharmaceuticals, Inc.)
来源:JP 2001510484; WO 9905155
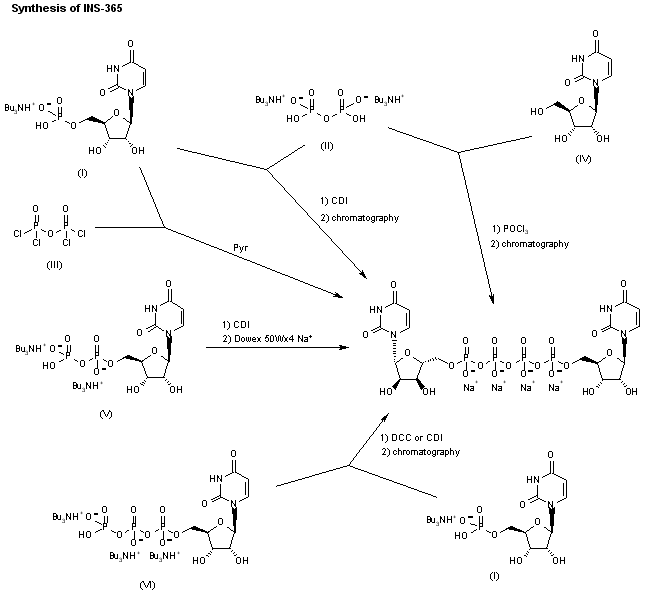
合成路线图解说明:

INS-365 can also been obtained by the following ways: 4) Dimerization of uridine-5'-monophosphate tributyl-ammonium salt (I) with bis(tributylammonium) pyrophosphate (II) by means of CDI, followed by purification by semipreparative ion璭xchange chromatography. 5) Dimerization of uridine-5'-monophosphate tributyl-ammonium salt (I) with pyrophosphoryl chloride (III) in pyridine, followed by chromatographic purification as before. 6) Condensation of uridine (IV) with POCl3 and bis(tributylammonium) pyrophosphate (II) by means of tributylamine in trimethyl phosphate, followed by chromatographic purification as before. 7) Dimerization of uridine-5'-diphosphate tributylammonium salt (V) by means of CDI in DMF, followed by purification over Dowex 50Wx4 Na+. 8) Condensation of uridine-5'-triphosphate tributylammonium salt (VI) with uridine-5'-monophosphate tributyl-ammonium salt (I) by means of DCC in DMF, followed by chromatographic purification as before. 9) Reaction of uridine-5'-monophosphate tributylammonium salt (I) with CDI in DMF, followed by condensation with uridine-5'-triphosphate (VI) and chromatographic purification as before.

参考文献No.606962
标题:Synthesis and P2Y receptor activity of a series of uridine dinucleoside 5'-polyphosphates
作者:Pendergast, W.; Yerxa, B.R.; Douglass, J.G. III; Shaver, S.R.; Dougherty, R.W.; Redick, C.C.; Sims, I.F.; Rideout, J.L.
来源:Bioorg Med Chem Lett 2001,11(2),157
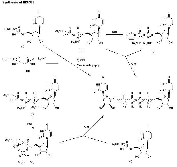
合成路线图解说明:

INS-365 can be obtained by several different ways: 1) Dimerization of uridine-5'-monophosphate tributyl-ammonium salt (I) with bis(triethylammonium) pyrophosphate (II) by means of CDI, followed by purification by semipreparative ion璭xchange chromatography. 2) Reaction of uridine-5'-diphosphate (III) with CDI in DMF gives the corresponding adduct (IV), which is then condensed with more uridine-5'-diphosphate (III), affording INS-365 which is purified by chromatography as before. 3) Reaction of uridine-5'-triphosphate tributylammonium salt (V) with CDI in DMF gives the cyclic triphosphate (VI), which is then condensed with uridine-5'-monophosphate (I) in hot DMF to provide INS-365 which is purified by chromatography as before.

Drug Information Express,Drug R&D,Chemical Database,Patent Search.
Copyright © 2006-2026 Drug Future. All rights reserved.Contact Us