【药物名称】VUF-5087
化学结构式(Chemical Structure):
参考文献No.412277
标题:Synthesis and structure - activity relationships of carboxylated chalcones: A novel series of CysLT1 (LTD4) receptor antagonists
作者:Zwaagstra, M.E.; Timmerman, H.; Tamura, M.; Tohma, T.; Wada, Y.; Onogi, K.; Zhang, M.Q.
来源:J Med Chem 1997,40(7),1075
合成路线图解说明:

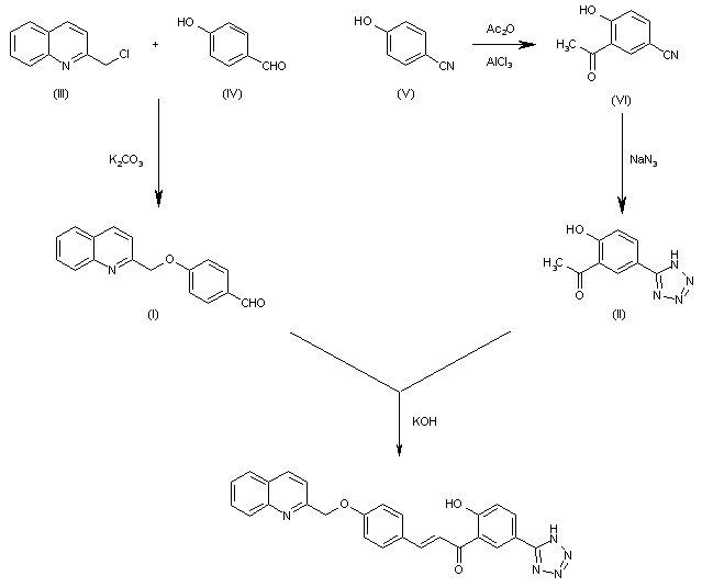
By condensation of 4-(2-quinolinylmethoxy)benzaldeyde (I) with 2-hydroxy-5(1H-tetrazol-5-yl)acetophenone (II) by means of KOH in ethanol/water. The intermediates (I) and (II) have been obtained as follows: Benzaldehyde (I): By condensation of 2-(chloromethyl)quinoline (III) with 4-hydroxybenzaldehyde (IV) by means of K2CO3 in hot DMF. Acetophenone (II): The acetylation of 4-hydroxybenzonitrile (V) with acetic anhydride/sulfuric acid and AlCl3 gives 5-cyano-2-hydroxyacetophenone (VI), which is then cyclized with sodium azide and ammonium chloride in hot DMF.

合成路线图解说明:

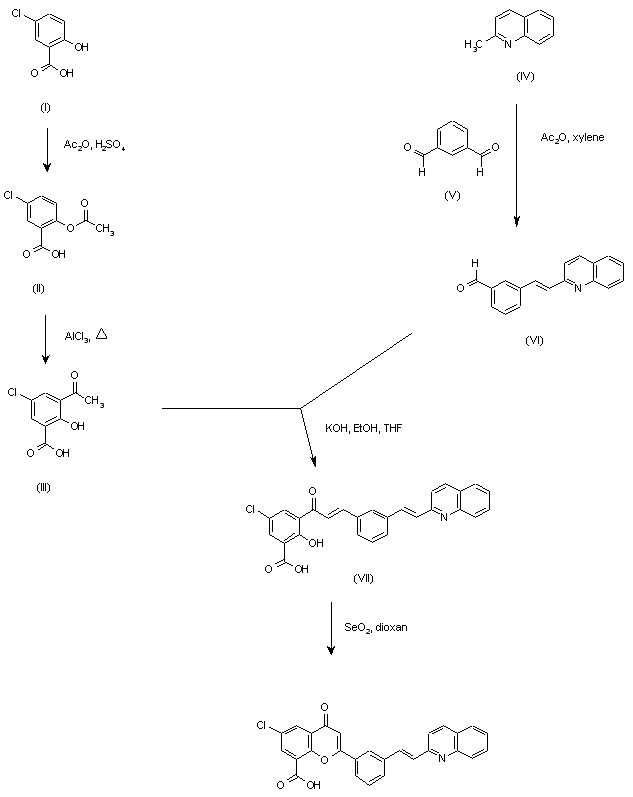
The intermediate acetophenone (III) was prepared from 5-chlorosalicylic acid (I) by O-acetylation with acetic anhydride and a catalytic amount of sulfuric acid, followed by Fries rearrangement of the resulting acetate (II) on heating with aluminum chloride. Condensation of 2-methylquinoline (IV) with an excess of 1,3-benzene dicarboxaldehyde (V) in a refluxing mixture of acetic anhydride and xylene provided aldehyde (VI), which was then condensed with acetophenone (III) by treatment with KOH in a mixture of ethanol and tetrahydrofuran to give chalcone (VII). Finally, oxidative ring closure by refluxing with selenium dioxide in dioxan yielded the desired flavone.

参考文献No.462758
标题:Synthesis and structure-activity relationships of carboxyflavones as structurally rigid CysLT1 (LTD4) receptor antagonists
作者:Zwaagstra, M. E.; Timmerman, H.; van de Stolpe, A.C.; de Kanter, F.J.; Tamura, M.; Wada, Y.; Zhang, M.Q.
来源:J Med Chem 1998,41(9),1428
合成路线图解说明:

The intermediate acetophenone (III) was prepared from 5-chlorosalicylic acid (I) by O-acetylation with acetic anhydride and a catalytic amount of sulfuric acid, followed by Fries rearrangement of the resulting acetate (II) on heating with aluminum chloride. Condensation of 2-methylquinoline (IV) with an excess of 1,3-benzene dicarboxaldehyde (V) in a refluxing mixture of acetic anhydride and xylene provided aldehyde (VI), which was then condensed with acetophenone (III) by treatment with KOH in a mixture of ethanol and tetrahydrofuran to give chalcone (VII). Finally, oxidative ring closure by refluxing with selenium dioxide in dioxan yielded the desired flavone.

Drug Information Express,Drug R&D,Chemical Database,Patent Search.
Copyright © 2006-2026 Drug Future. All rights reserved.Contact Us