【药物名称】WP-652
化学结构式(Chemical Structure):
参考文献No.36760
标题:Bis-anthracyclines with high activity against doxorubicin resistant tumors
作者:Priebe, W.; Chaires, J.B.; Przewloka, T.; Fokt, I.; Perez-Soler, R.
来源:EP 0971716; JP 2000506899; WO 9734612
合成路线图解说明:

Condensation of two molecules of daunorubicin hydrochloride (I) with a,a'-dibromo-p-xylene (II) in the presence of Na2CO3 in DMF-CH2Cl2 at room temperature afforded the bis-daunorubicin derivative, which was purified by column chromatography and precipitated as the dihydrochloride from a MeOH-Et2O solution.

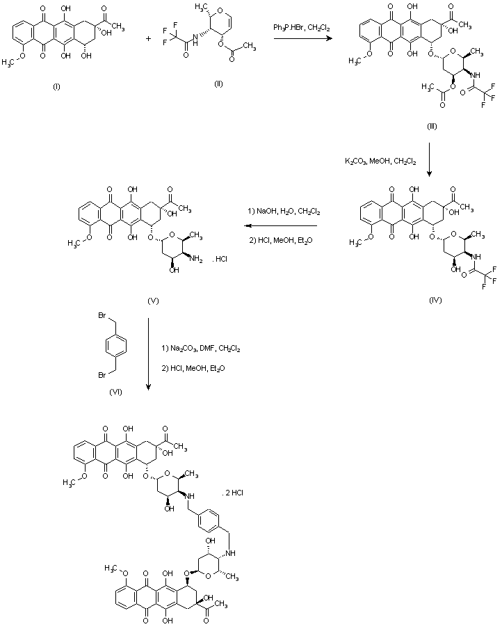
合成路线图解说明:

Condensation of daunomycinone (I) with aminoglycal (II) in the presence of triphenylphosphine hydrobromide provided the protected hexopyranosyl daunomycinone (III). Deacetylation with K2CO3 in MeOH-CH2Cl2 gave alcohol (IV), and further hydrolysis of the trifluoroacetamide with NaOH yielded amine (V), which was isolated as the hydrochloride. Finally, condensation of two molecules of (V) with a,a'-dibromo-p-xylene (VI) in the presence of Na2CO3 in DMF-CH2Cl2 at room temperature, followed by precipitation of the dihydrochloride from MeOH-Et2O, provided the target compound.

Drug Information Express,Drug R&D,Chemical Database,Patent Search.
Copyright © 2006-2026 Drug Future. All rights reserved.Contact Us