【药物名称】RU-58642
化学结构式(Chemical Structure):
参考文献No.18192
标题:Phenylimidazolidines, their process for fabrication, their application as medicaments and the pharmaceutical compsns. containing them
作者:Gaillard-Kelly, M.; Goubet, F.; Philibert, D.; Teutsch, J.-G. (Aventis Pharma SA)
来源:EP 0494819; FR 2671348; JP 1992308579; US 5411981
合成路线图解说明:

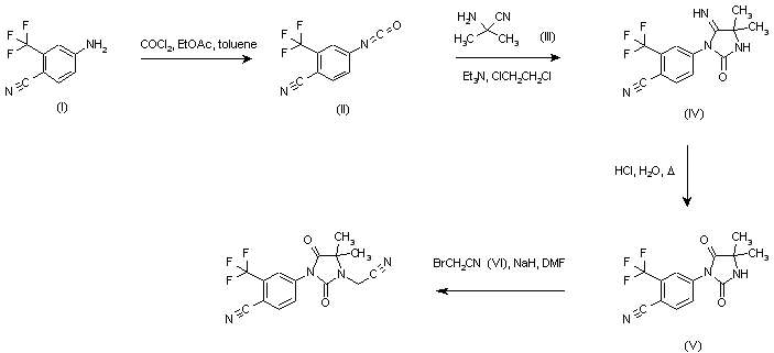
The reaction of 4-cyano-3-(trifluoromethyl)aniline (I) with phosgene afforded isocyanate (II). Subsequent condensation with 2-amino-2-methylpropionitrile (III) in the presence of Et3N in dichloroethane yielded the iminoimidazolidinone (IV), which was hydrolyzed to hydantoin (V) with refluxing 0.5 M HCl. Finally, alkylation with bromoacetonitrile (VI) in the presence of NaH in DMF provided the cyanomethyl compound.

参考文献No.465335
标题:Pharmacological profile of RU 58642, a potent systemic antiandrogen for the treatment of androgen-dependent disorders
作者:Battmann, T.; Branche, C.; Bouchoux, F.; Cerede, E.; Philibert, D.; Goubet, F.; Teutsch, G.; Gaillard-Kelly, M.
来源:J Steroid Biochem Mol Biol 1998,64(1-2),103
合成路线图解说明:

The reaction of 4-cyano-3-(trifluoromethyl)aniline (I) with phosgene afforded isocyanate (II). Subsequent condensation with 2-amino-2-methylpropionitrile (III) in the presence of Et3N in dichloroethane yielded the iminoimidazolidinone (IV), which was hydrolyzed to hydantoin (V) with refluxing 0.5 M HCl. Finally, alkylation with bromoacetonitrile (VI) in the presence of NaH in DMF provided the cyanomethyl compound.

Drug Information Express,Drug R&D,Chemical Database,Patent Search.
Copyright © 2006-2026 Drug Future. All rights reserved.Contact Us