【药物名称】FR-194738
化学结构式(Chemical Structure):
参考文献No.36024
标题:Substd. amine derivs.
作者:Okumura, H.; Washizuka, K.; Fujii, N.; Takasugi, H. (Fujisawa Pharmaceutical Co., Ltd.)
来源:JP 2000517314; WO 9808838
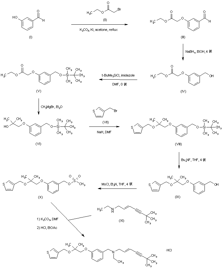
合成路线图解说明:

Ethyl 2-(3-formylphenoxy)acetate (III) was prepared by alkylation of 3-hydroxybenzaldehyde (I) with ethyl bromoacetate (II) in the presence of K2CO3 and KI. Reduction of aldehyde (III) with NaBH4 provided the benzyl alcohol (IV), which was further protected as the silyl ether (V) by treatment with tert-butyldimethylsilyl chloride and imidazole. Addition of methylmagnesium bromide to the ester function of (V) yielded the tertiary alcohol (VI). Condensation of the sodium alkoxide of (VI) with 3-(bromomethyl)thiophene (VII) furnished ether (VIII). After desilylation of (VIII) employing tetrabutylammonium fluoride, the resultant benzyl alcohol (IX) was treated with methanesulfonyl chloride and triethylamine to afford mesylate (X). Alkylation of amine (XI) with mesylate (X) furnished the target tertiary amine, which was finally treated with HCl in EtOAc to afford the corresponding hydrochloride salt.

参考文献No.786351
标题:Synthesis and biological activity of a novel squalene epoxidase inhibitor, FR194738
作者:Sawada, M.; Okumura, H.; Washizuka, K.-I.
来源:Bioorg Med Chem Lett 2004,14(3),633
合成路线图解说明:

Ethyl 2-(3-formylphenoxy)acetate (III) was prepared by alkylation of 3-hydroxybenzaldehyde (I) with ethyl bromoacetate (II) in the presence of K2CO3 and KI. Reduction of aldehyde (III) with NaBH4 provided the benzyl alcohol (IV), which was further protected as the silyl ether (V) by treatment with tert-butyldimethylsilyl chloride and imidazole. Addition of methylmagnesium bromide to the ester function of (V) yielded the tertiary alcohol (VI). Condensation of the sodium alkoxide of (VI) with 3-(bromomethyl)thiophene (VII) furnished ether (VIII). After desilylation of (VIII) employing tetrabutylammonium fluoride, the resultant benzyl alcohol (IX) was treated with methanesulfonyl chloride and triethylamine to afford mesylate (X). Alkylation of amine (XI) with mesylate (X) furnished the target tertiary amine, which was finally treated with HCl in EtOAc to afford the corresponding hydrochloride salt.

Drug Information Express,Drug R&D,Chemical Database,Patent Search.
Copyright © 2006-2026 Drug Future. All rights reserved.Contact Us