【药物名称】
化学结构式(Chemical Structure):
参考文献No.460460
标题:d-Fused[1]benzazepines with selective in vitro antitumor activity: Synthesis and structure-activity relationships
作者:Kunick, C.; Link, A.
来源:J Med Chem 1998,41(8),1299
合成路线图解说明:

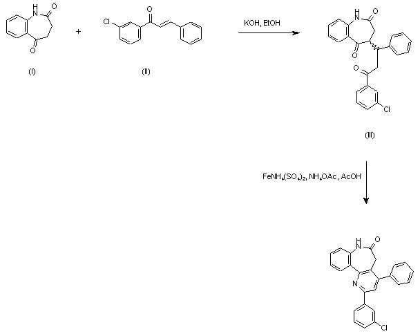
Benzazepinedione (I) was condensed with propenone (II) in the presence of a catalytic amount of KOH in ethanol to furnish a diasteromeric mixture of the Michael adducts (III). This mixture was then cyclized and oxidized by means of ammonium ferric sulfate and ammonium acetate in refluxing acetic acid to provide the desired pyridobenzazepinone.

Drug Information Express,Drug R&D,Chemical Database,Patent Search.
Copyright © 2006-2026 Drug Future. All rights reserved.Contact Us