【药物名称】
化学结构式(Chemical Structure):
参考文献No.460443
标题:Selective Pneumocystis carinii dihydrofolate reductase inhibitors: Design, synthesis, and biological evaluation of new 2,4-diamino-5-substituted-furo[2, 3-d]pyrimidines
作者:Gangjee, A.; Guo, X.; Queener, S.F.; Cody, V.; Galitsky, N.; Luft, J.R.; Pangborn, W.
来源:J Med Chem 1998,41(8),1263
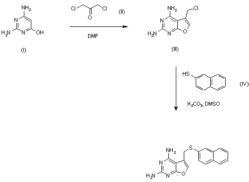
合成路线图解说明:

2,6-Diamino-4-hydroxypyrimidine (I) was cyclized with 1,3-dichloroacetone (II) in DMF at room temperature, and the resulting unstable furopyrimidine (III) was rapidly purified by a short column of silica gel and stored at -20 C. Then, the nucleophilic displacement reaction of chloride (III) with 2-naphthalenethiol (IV) in the presence of potassium carbonate in DMSO yielded the desired thioether.

Drug Information Express,Drug R&D,Chemical Database,Patent Search.
Copyright © 2006-2026 Drug Future. All rights reserved.Contact Us