【药物名称】DA-3797
化学结构式(Chemical Structure):
参考文献No.460718
标题:Synthesis of phenoxyacetic acid derivatives as highly potent antagonists of gastrin/cholecystokinin-B receptors
作者:Takeda, Y.; Kawagoe, K.; Yokomizo, A.; Yokomizo, Y.; Hosokami, T.; Ogihara, Y.; Honda, Y.; Yokohama, S.
来源:Chem Pharm Bull 1998,46(3),434-444
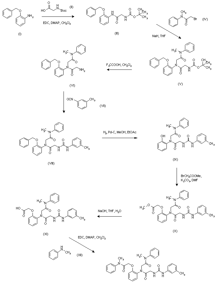
合成路线图解说明:

2-Benzyloxyaniline (I) was acylated with N-tert-butoxycarbonyl glycine (II) by means of 1-[3-(dimethylamino)propyl]-3-ethylcarbodiimide.HCl (EDC) to give amide (III). Alkylation with bromoacetamide (IV) in the presence of NaH in THF provided (V), and then removal of the Boc protecting group with trifluoroacetic acid gave amine (VI). This amine was condensed with 3-tolyl isocyanate (VII) to give the phenylurea (VIII). Cleavage of the benzyl group by hydrogenolysis on Pd/C provided phenol (IX), which was alkylated with methyl bromoacetate in the presence of K2CO3 to give ether (X). Alkaline hydrolysis of the ester group gave acid (XI), which was finally condensed with N-methylaniline (XII) by means of EDC to yield the target compound.

Drug Information Express,Drug R&D,Chemical Database,Patent Search.
Copyright © 2006-2026 Drug Future. All rights reserved.Contact Us