【药物名称】
化学结构式(Chemical Structure):
参考文献No.537453
标题:1-Arylnaphthalene lignan: A novel scaffold for type 5 phosphodiesterase inhibitor
作者:Ukita, T.; nakamura, Y.; Kubo, A.; Yamamoto, Y.; Takahashi, M.; Kotera, J.; Ikeo, T.
来源:J Med Chem 1999,42(7),1293
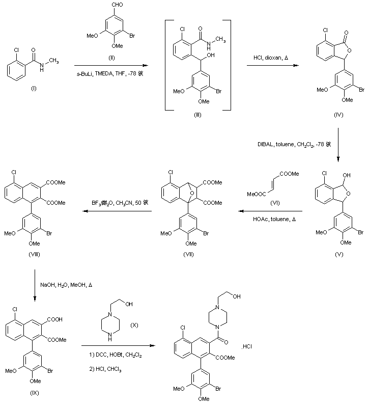
合成路线图解说明:

Lithiation of 2-chloro-N-methylbenzamide (I) using sec-butyllithium and tetramethyl ethylenediamine, followed by addition of the resulting organolithium derivative to 3-bromo-4,5-dimethoxybenzaldehyde (II) produced hydroxy amide (III), which was cyclized to lactone (IV) upon refluxing with HCl/dioxan. Reduction of the lactone function of (IV) employing DIBAL yielded lactol (V). The intermediate isobenzofuran generated by acidic treatment of lactol (V) experienced a Diels-Alder addition with dimethyl fumarate (VI) to afford adduct (VII). Subsequent aromatization of (VII) to give naphthalene (VIII) was carried out by treatment with boron trifluoride etherate in hot acetonitrile. Selective saponification of the less hindered ester group of (VIII) provided acid (IX). After coupling of (IX) with N-(2-hydroxyethyl)piperazine (X) by means of DCC and HOBt, the title compound was converted to the hydrochloride salt.

Drug Information Express,Drug R&D,Chemical Database,Patent Search.
Copyright © 2006-2026 Drug Future. All rights reserved.Contact Us