【药物名称】
化学结构式(Chemical Structure):
参考文献No.547570
标题:Synthesis of trimethylhydroquinone derivatives as anti-allergic agents with anti-oxidative actions
作者:Kawasaki, N.; Miyataka, H.; Nishiki, M.; Matsumoto, H.; Inagaki, N.; Nagai, H.; Satoh, T.
来源:Chem Pharm Bull 1999,47(2),177
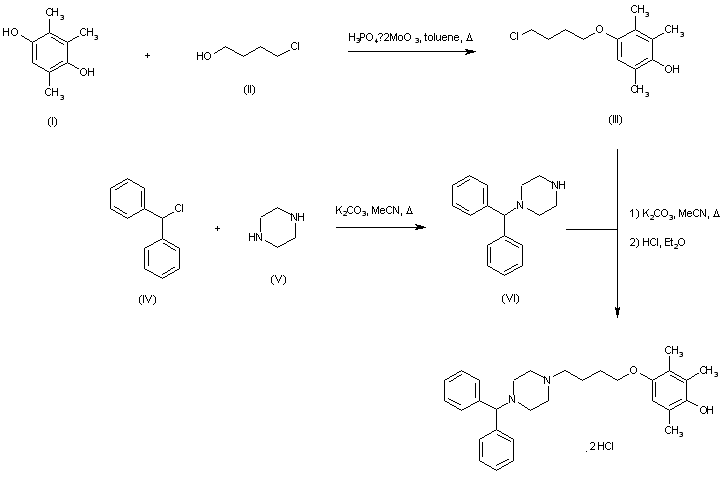
合成路线图解说明:

Condensation of trimethylhydroquinone (I) with 4-chloro-1-butanol (II) in the presence of phosphomolybdic acid in refluxing toluene yielded the chlorobutyl ether (III). Benzhydrylpiperazine (VI), (prepared from chlorodiphenylmethane (IV) and piperazine (V)), was then condensed with chloride (III) to give the target compound, which was isolated as the dihydrochloride salt.

Drug Information Express,Drug R&D,Chemical Database,Patent Search.
Copyright © 2006-2026 Drug Future. All rights reserved.Contact Us