【药物名称】
化学结构式(Chemical Structure):
参考文献No.460447
标题:Synthesis and anticonvulsant activity of 2(3H)-benzoxazolone and 2(3H)-benzothiazolone derivatives
作者:Ucar, H.; Van Derpoorten, K.; Cacciaguerra, S.; Spampinato, S.; Stables, J.P.; Depovere, P.; Isa, M.; Masereel, B.; Delarge, J.; Poupaert, J.H.
来源:J Med Chem 1998,41(7),1138
合成路线图解说明:

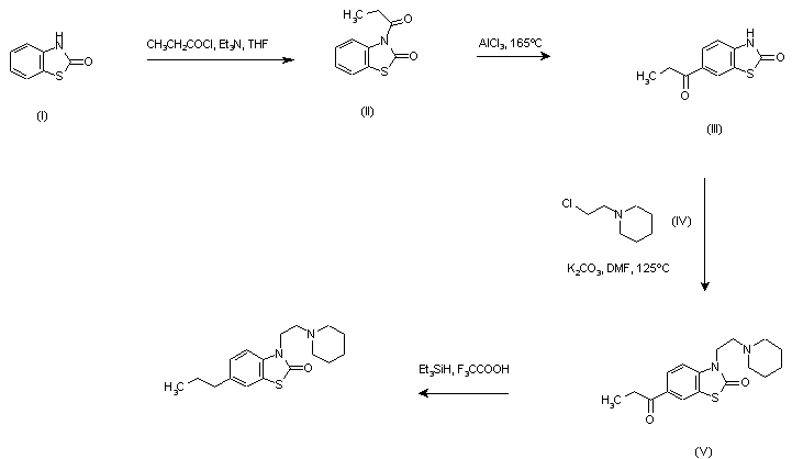
Reaction of benzothiazolone (I) with propionyl chloride in the presence of triethylamine in refluxing THF provided the N-propionyl derivative (II), which was subsequently rearranged by heating at 165 C with AlCl3 to give ketone (III). Alkylation of (III) with 1-(2-chloroethyl)piperidine and K2CO3 in hot DMF yielded (IV), which was finally reduced with triethylsilane in trifluoroacetic acid to the propyl derivative.

Drug Information Express,Drug R&D,Chemical Database,Patent Search.
Copyright © 2006-2026 Drug Future. All rights reserved.Contact Us