【药物名称】
化学结构式(Chemical Structure):
参考文献No.460445
标题:Steroidal and nonsteroidal sulfamates as potent inhibitors of steroid sulfatase
作者:Woo, L.W.C.; Howarth, N,M.; Purohit, A.; Hejaz, H.A.; Reed, M.J.; Potter, B.V.L.
来源:J Med Chem 1998,41(7),1068
合成路线图解说明:

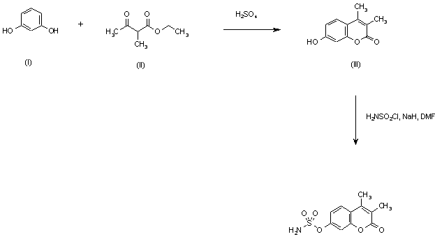
Pechmann condensation of resorcinol (I) with ethyl 2-methylacetylacetate (II) in concentrated sulfuric acid at room temperature provided coumarine (III). Further treatment with one equivalent of sodium hydride and an excess of sulfamoyl chloride yielded the target sulfamate.

Drug Information Express,Drug R&D,Chemical Database,Patent Search.
Copyright © 2006-2026 Drug Future. All rights reserved.Contact Us