【药物名称】
化学结构式(Chemical Structure):
参考文献No.460453
标题:Design and synthesis of enantiomers of 3, 5-dinitro-o-tyrosine: alpha-Amino-3-hydroxy-5-methyl-4-isoxazolepropanoic acid (AMPA) receptor antagonists
作者:Sun, G.; Slavica, M.; Uretsky, N.J.; Wallace, L.J.; Shams, G.; Weinstein, D.M.; Miller, J.C.; Miller, D.D.
来源:J Med Chem 1998,41(7),1034-1041
合成路线图解说明:

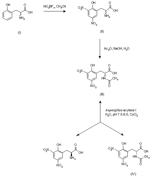
Nitration of 2-hydroxy-DL-phenylalanine (I) with nitronium tetrafluoroborate in cooled acetonitrile provided the dinitro compound (II), which was isolated through a cation exchange column as the ammonium phenolate salt. Acylation under Schotten Baumann conditions gave racemic acetamide (III). Then, kinetic resolution with Aspergillus acylase I produced the desired (S)-amine together with unaltered (R)-acetamide (IV), which were separated by partition between water and ethyl acetate. The organic extract provided (S)-amine with an optical purity of > 99% e.e.

参考文献No.464191
标题:Structure-activity studies for alpha-amino-3-hydroxy-5-methyl-4-isoxazolepropanoic acid receptors: Acidic hydroxyphenylalanines
作者:Hill, R.A.; Wallace, L.J.; Miller, D.D.; Weinstein, D.M.; Shams, G.; Tai, H.L.; Layer, R.T.; Willins, D.; Uretsky, N.J.; Danthi, S.N.
来源:J Med Chem 1997,40(20),3182-3191
合成路线图解说明:

Nitration of 2-hydroxy-DL-phenylalanine (I) with nitronium tetrafluoroborate in cooled acetonitrile provided the dinitro compound (II), which was isolated through a cation exchange column as the ammonium phenolate salt. Acylation under Schotten Baumann conditions gave racemic acetamide (III). Then, kinetic resolution with Aspergillus acylase I produced the desired (S)-amine together with unaltered (R)-acetamide (IV), which were separated by partition between water and ethyl acetate. The organic extract provided (S)-amine with an optical purity of > 99% e.e.

Drug Information Express,Drug R&D,Chemical Database,Patent Search.
Copyright © 2006-2026 Drug Future. All rights reserved.Contact Us