【药物名称】
化学结构式(Chemical Structure):
参考文献No.460462
标题:Cytotoxic activities of Mannich bases of chalcones and related compounds
作者:Dimmock, J.R.; Kandepu, N.M.; Hetherington, M.; Quail, J.W.; Pugazhenthi, U.; Sudom, A.M.; Chamankhah, M.; Rose, P.; Pass, E.; Allen, T.M.; Halleran, S.; Szydlowski, J.; Mutus, B.; Tannous, M.; Manavathu, E.K.; Myers, T.G.; De Clercq, E.; Balzarini, J.
来源:J Med Chem 1998,41(7),1014-1026
合成路线图解说明:

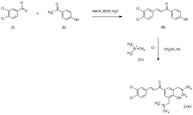
Aldol condensation between 3,4-dichlorobenzaldehyde (I) and 4'-hydroxyacetophenone (II) in hydroalcoholic NaOH yielded chalcone (III). Then, Mannich reaction of (III) with N,N-dimethylmethyleneammonium chloride (IV) in refluxing acetonitrile provided the bis(dimethylamino) compound as the dihydrochloride.

Drug Information Express,Drug R&D,Chemical Database,Patent Search.
Copyright © 2006-2026 Drug Future. All rights reserved.Contact Us