【药物名称】
化学结构式(Chemical Structure):
参考文献No.561022
标题:Synthesis and antitumor activity of duocarmycin derivatives: A-ring pyrrole compounds bearing 5-membered heteroarylacryloyl groups
作者:Amishiro, N.; Nagamura, S.; Kobayashi, E.; Okamoto, A.; Gomi, K.; Saito, H.
来源:Chem Pharm Bull 1999,47(10),1393
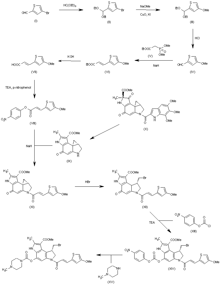
合成路线图解说明:

The reaction of 4-bromothiophene-2-carbaldehyde (I) with triethyl orthoformate gives the corresponding acetal (II), which is treated with NaOMe, CuO and KI in hot methanol yielding 5-methoxythiophene-2-carbaldehyde diethylacetal (III). The hydrolysis of (III) with HCl in methanol affords the carbaldehyde (IV), which is condensed with the phosphonate (V) by means of NaH in THF to provide the ethyl acrylate (VI). The hydrolysis of (VI) with KOH in methanol gives the acrylic acid (VII), which is esterified with 4-nitrophenol, TEA and 2-chloro-1-methylpyridinium iodide in dichloromethane yielding the activate ester (VIII). The condensation of (VIII) with the tetracyclic ketone (IX) (obtained by treatment of the dimeric ketonic compound (X) with NaOMe in methanol) affords the adduct (XI), which is treated with HBr in acetonitrile to open the cyclopropane ring and provide the bromomethyl compound (XII). The aromatization of (XII) with p-nitrophenyl chloroformate (XIII) and TEA in dichloromethane affords the activated carbonate ester (XIV), which is finally treated with 1-methylpiperazine (XV) to furnish the target carbamate.

Drug Information Express,Drug R&D,Chemical Database,Patent Search.
Copyright © 2006-2026 Drug Future. All rights reserved.Contact Us