【药物名称】SK-1080, KR-31080
化学结构式(Chemical Structure):
参考文献No.37554
标题:Pyridyl imidazole derivs. and processes for the preparation thereof
作者:Kim, N.J.; Seo, H.W.; Lee, S.H.; Shin, W.S.; Yi, K.Y.; Yoo, S.E.; Chan, O.J.; Jung, Y.S.; Lee, H.S.; Shin, Y.A.; Lee, B.H.; Kim, H.R.; Kim, S.J.; Suh, J.H. (Korea Research Institute of Chemical Technology)
来源:WO 9534564
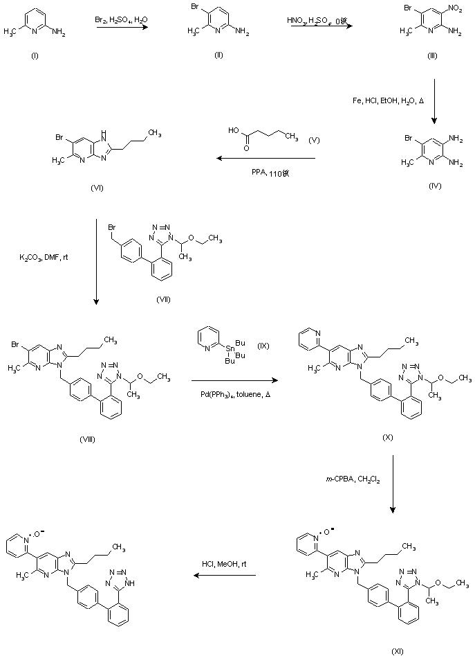
合成路线图解说明:

Bromination of 6-aminopicoline (I) in aqueous H2SO4 gave bromopyridine (II), which was subsequently nitrated in cold H2SO4 to afford (III). Reduction of the nitro group of (III) with iron powder and HCl provided diamine (IV). The imidazopyridine system (VI) was then synthesized by condensation of (IV) with valeric acid (V) in polyphosphoric acid at 110 C. Alkylation of (VI) with the biphenylmethyl bromide (VII) in the presence of K2CO3 in DMF gave (VIII), which was coupled in turn with 2-(tri-n-butylstannyl)pyridine (IX) in the presence of Pd(PPh3)4 to produce the 6-(2-pyridinyl)-imidazopyridine derivative (X). Further oxidation of (X) with meta-chloroperbenzoic acid yielded the N-oxide (XI). Finally, deprotection of the tetrazole by treatment with methanolic HCl provided the target compound.

Drug Information Express,Drug R&D,Chemical Database,Patent Search.
Copyright © 2006-2026 Drug Future. All rights reserved.Contact Us