【药物名称】VP-339
化学结构式(Chemical Structure):
参考文献No.37490
标题:Biphenyl derivs. and medicinal compsns.
作者:Matsukawa, H.; Toyofuku, H.; Naito, A.; Ohtake, Y.; Saito, Y.; Naito, K. (Wakamoto Pharmaceutical Co., Ltd.)
来源:EP 0987266; WO 9843976
合成路线图解说明:

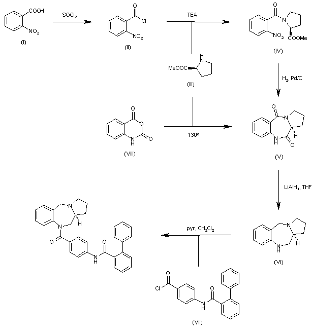
The reaction of 2-nitrobenzoic acid with SOCl2 gives the acyl chloride (II), which is condensed with D-proline (III) by means of TEA in dichloromethane yielding the acyl proline (IV). The reductive cyclization of (IV) with H2 over Pd/C in methanol affords the pyrrolobenzodiazepinedione (V). The selective reduction of the C-11 lactam group of (V) with NaBH4 and TFA in glyme gave the pyrrolobenzodiazepinone (VI), which is finally coupled with 4-[(2-phenylbenzoyl)amino]benzoyl chloride (VII) furnishing the title compound.

合成路线图解说明:

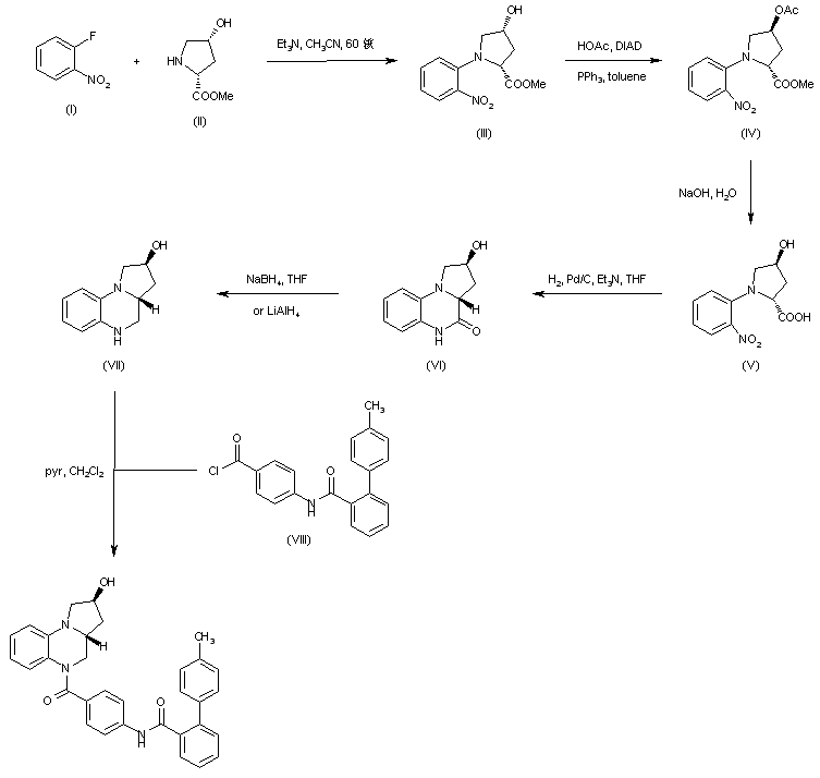
Condensation of 1-fluoro-2-nitrobenzene (I) with cis-4-hydroxy-D-proline methyl ester (II) in hot acetonitrile provided the N-(2-nitrophenyl)proline derivative (III). The stereochemical inversion of the hydroxyl group of (III) was achieved by Mitsunobu coupling with acetic acid, followed by basic hydrolysis of the resulting acetate ester (IV) to acid (V). The nitro acid (V) obtained was then hydrogenated over Pd/C to form the tricyclic lactam (VI). Further reduction of the lactam carbonyl group by means of NaBH4 in refluxing THF gave pyrroloquinoxaline (VII). This was finally coupled with 4-(4'-methyl-2-biphenylcarboxamido)benzoyl chloride (VIII) to furnish the target amide.

合成路线图解说明:

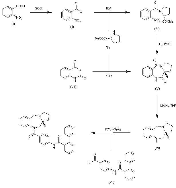
The reaction of 2-nitrobenzoic acid with SOCl2 gives the acyl chloride (II), which is condensed with D-proline (III) by means of TEA in dichloromethane yielding the acyl proline (IV). The reductive cyclization of (IV) with H2 over Pd/C in methanol affords the pyrrolobenzodiazepinedione (V). The reduction of both lactam groups of (V) with LiAlH4 gave the pyrrolobenzodiazepine (VI), which is finally coupled with 4-[(2-phenylbenzoyl)amino]-benzoyl chloride (VII) furnishing the title compound.

参考文献No.543043
标题:Novel vasopressin V2 receptor-selective antagonists, pyrrolo[2,1-a]quinoxaline and pyrrolo[2,1-c][1,4]benzodiazepine derivatives
作者:Ohtake, Y.; Naito, A.; Hasegawa, H.; Kawano, K.; Morizono, D.; Taniguchi, M.; Tanaka, Y.; Matsukawa, H.; Naito, K.; Oguma, T.; Ezure, Y.; Tsuriya, Y.
来源:Bioorg Med Chem 1999,7(6),1247
合成路线图解说明:

The reaction of 2-nitrobenzoic acid with SOCl2 gives the acyl chloride (II), which is condensed with D-proline (III) by means of TEA in dichloromethane yielding the acyl proline (IV). The reductive cyclization of (IV) with H2 over Pd/C in methanol affords the pyrrolobenzodiazepinedione (V). The selective reduction of the C-11 lactam group of (V) with NaBH4 and TFA in glyme gave the pyrrolobenzodiazepinone (VI), which is finally coupled with 4-[(2-phenylbenzoyl)amino]benzoyl chloride (VII) furnishing the title compound.

合成路线图解说明:

Condensation of 1-fluoro-2-nitrobenzene (I) with cis-4-hydroxy-D-proline methyl ester (II) in hot acetonitrile provided the N-(2-nitrophenyl)proline derivative (III). The stereochemical inversion of the hydroxyl group of (III) was achieved by Mitsunobu coupling with acetic acid, followed by basic hydrolysis of the resulting acetate ester (IV) to acid (V). The nitro acid (V) obtained was then hydrogenated over Pd/C to form the tricyclic lactam (VI). Further reduction of the lactam carbonyl group by means of NaBH4 in refluxing THF gave pyrroloquinoxaline (VII). This was finally coupled with 4-(4'-methyl-2-biphenylcarboxamido)benzoyl chloride (VIII) to furnish the target amide.

合成路线图解说明:

The reaction of 2-nitrobenzoic acid with SOCl2 gives the acyl chloride (II), which is condensed with D-proline (III) by means of TEA in dichloromethane yielding the acyl proline (IV). The reductive cyclization of (IV) with H2 over Pd/C in methanol affords the pyrrolobenzodiazepinedione (V). The reduction of both lactam groups of (V) with LiAlH4 gave the pyrrolobenzodiazepine (VI), which is finally coupled with 4-[(2-phenylbenzoyl)amino]-benzoyl chloride (VII) furnishing the title compound.

Drug Information Express,Drug R&D,Chemical Database,Patent Search.
Copyright © 2006-2026 Drug Future. All rights reserved.Contact Us