【药物名称】Acotiamide hydrochloride hydrate, YM-443, Z-338
化学结构式(Chemical Structure):
参考文献No.31703
标题:Aminothiazole derivs., drug containing the same and intermediate in the production of the cpds.
作者:Nagasawa, M.; Murata, M.; Nishioka, H.; Kurimoto, T.; Ueki, S.; Kitagawa, O. (Zeria Pharmaceutical Co., Ltd.)
来源:EP 0870765; US 5981557; WO 9636619
合成路线图解说明:

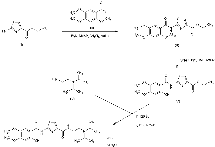
Acylation of 2-aminothiazole-4-carboxylic acid ethyl ester (I) with 2,4,5-trimethoxybenzoyl chloride (II) produced the corresponding amide (III). The 2-methoxy group of (III) was then selectively cleaved by treatment with pyridine hydrochloride, yielding the 2-hydroxybenzamide (IV). Finally, displacement of the ethyl ester group of (IV) by N,N-diisopropyl ethanediamine (V) upon heating at 120 C furnished the target compound, which was isolated as the corresponding hydrochloride salt.

参考文献No.56600
标题:Process for producing 2-hydroxybenzamide derivs.
作者:Suzuki, T.; Ishii, K.; Nagasawa, M.; Nagano, E.; Nishioka, H.; Nakao, R. (Zeria Pharmaceutical Co., Ltd.)
来源:EP 0994108; WO 9858918
合成路线图解说明:

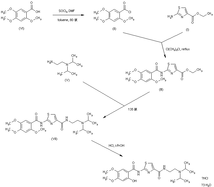
In a closely related procedure, acid chloride (II), prepared by treatment of 2,4,5-trimethoxybenzoic acid (VI) with SOCl2 in hot toluene, was condensed with aminothiazole (I), yielding amide (III). Displacement of the ethyl ester group of (III) by N,N-diisopropyl ethanediamine (V) furnished diamide (VII). Finally, upon formation of the hydrochloride salt of (VII) in isopropanol, the 2-methoxy group was simultaneously cleaved, directly leading to the title compound.

参考文献No.716513
标题:Z-338
作者:Sorbera, L.A.; Casta馿r, J.; Leeson, P.A.
来源:Drugs Fut 2003,28(1),26
合成路线图解说明:

Acylation of 2-aminothiazole-4-carboxylic acid ethyl ester (I) with 2,4,5-trimethoxybenzoyl chloride (II) produced the corresponding amide (III). The 2-methoxy group of (III) was then selectively cleaved by treatment with pyridine hydrochloride, yielding the 2-hydroxybenzamide (IV). Finally, displacement of the ethyl ester group of (IV) by N,N-diisopropyl ethanediamine (V) upon heating at 120 C furnished the target compound, which was isolated as the corresponding hydrochloride salt.

合成路线图解说明:

In a closely related procedure, acid chloride (II), prepared by treatment of 2,4,5-trimethoxybenzoic acid (VI) with SOCl2 in hot toluene, was condensed with aminothiazole (I), yielding amide (III). Displacement of the ethyl ester group of (III) by N,N-diisopropyl ethanediamine (V) furnished diamide (VII). Finally, upon formation of the hydrochloride salt of (VII) in isopropanol, the 2-methoxy group was simultaneously cleaved, directly leading to the title compound.

Drug Information Express,Drug R&D,Chemical Database,Patent Search.
Copyright © 2006-2026 Drug Future. All rights reserved.Contact Us